Természettudományi Közlöny, Pótfüzet, 1941. október–december
Kendi Finály István
A növényi festékek

Kinek nem gyönyörködik a szeme, amikor a virágzó rét tarka, de mégis harmonikus színpompáját látja? Kinek nem nyugszik meg lelke, amikor a hegytetôrôl szétnéz a zöldelô erdôk felé? Kora tavasszal még hó takarja az avart, amikor a hóvirág kedves harangocskái fehérleni kezdenek. Azután a kökörcsin ibolyaszínû kelyhei jelennek meg a természetjáró szeme elôtt, hogy egyre gyorsabb iramban átadják a helyet a késô tavaszi és nyári vadvirágok sárga, piros, fehér és kék szirmainak. A nyári hegyoldalon széttekintve azt hinné az ember, csupa egyhangú zöldet lát. Zöld a tûlevelû fenyô, zöld a boróka, zöld a bükk és ugyancsak zöld a tölgy és mégis csodálatosan változatos árnyalatban mutatják meg a vándornak, milyen különbség lehet zöld és zöld között. A nyári séták után egyre rövidebbek a napok, kevesebb a színpompa a virágos réten. Az erdô megnyugtató, szemet pihentetô zöldje is megváltozik, fakulni kezd a lomb. Kimondhatatlanul sok színárnyalatban sárga, barna, rôt és ibolyás foltok jelennek meg a jólismert hegyoldalakon.  A változhatatlanságot csupán a fenyôerdôk szinte fájdalmasan elsötétülô zöld pásztái jelzik. Ez az az ôszi színpompa, amely annyiszor ihlette meg a mélabú költôit. Kisvártatva a tél következik. Szelíd hótakarójával eltakarja a tájat. Egyformán szép és egyaránt fehérré válik minden; az is, ami azelôtt színpompás, tarka, bájos képet nyújtott, de az is, ami talán egyhangú vagy sivár volt elôbb. Néhány hónap múltán jön a várva várt tavasz, s újból kezdôdik a bámulatos színjáték.
Az egyszerû vándor megelégszik azzal, hogy gyönyörködik a növények színpompájában és élvezi a természet csodás harmóniáját. A természettudós persze ilyenkor is okozati összefüggést, magyarázatokat kutat, különösen akkor, ha ráadásul vegyész.

Hogy mi a végsô célja a természetnek azzal, hogy ezt a szemünknek annyira tetszô színpompát évrôl-évre elénk tárja, bizony nem teljesen tisztázott kérdés. Fizika, élettan, biokémia, állattan és örökléstan össze kell hogy fogjon ennek a bonyolult természeti titoknak megfejtésére. Hagyjuk tehát eI ezúttal ezt a bonyolult feladatot és lássunk hozzá a közvetlen okok kikutatásához, nézzük meg közelebbrôl a természetadta növények, a színes virágok, a zöldelô erdô, meg a csábító pompájú gombák színét, vizsgáljuk meg ezt a tarka világot a vegyész szemével és a szerves kémia fegyvereivel.

Mindenki tudja, hogy a növények legapróbb alkotórészeitôl, a sejtektôl függ, hogy milyen színt sugároznak felénk. Ahol a sejtekben levegôbuborékok úszkálnak, ott a növény (vagyis sok ezernyi sejtnek szemünk elôtt egybefolyó tömege) fehérnek látszik. Ahol viszont különféle szerves vegyületek kerülnek a sejtekbe, ott a szivárvány valamelyik színe fog szemünkbe tûnni. Hogy melyik, azt a szerves vegyület (mondhatjuk úgy is, hogy a természetes festék) minôsége szabja meg. Aszerint, hagy a szerves anyag a fehér fénysugárnak melyik alkotórészét nyeli el, ibolyaszínûnek, zöldnek vagy vörösnek fog látszani, vagyis a fehér fénybôl megmaradó színeket fogja kisugározni. Ezt a következô táblázatból könnyen megérthetjük.

l. TÁBLAZAT

Hullámhosszúság
ezredmikronokban:
Elnyelt sugarak:  Megmaradt sugarak
(a tárgy színe):
400
425
450
490 
510
530
550
590
640
730
ibolyaszín 
kék
búzavirágkék
kékeszöld
zöld
sárgászöld 
sárga
narancsszín
vörös
bíborszín
sárgászöld
sárga
narancsszín
vörös
bíborszín
ibolyaszín
kék
búzavirágkék
kékeszöld 
zöld

Hogy azután az egyes vegyületek miért éppen a reájuk jellemzô színt mutatják (azaz miért éppen bizonyos hullámhosszúságú sugarakat nyelnek csak el), arra általános szabályt ma még nem tudunk. Annyi bizonyos, hogy a kémiai szerkezet és a vegyület színe között szabályszerû összefüggések vannak. A természetes festôanyagok kivétel nélkül mind szerves vegyületek és érdekes, hogy a szerves vegyületek színének a szerkezettel összefüggését ma is nagyjából a Witt-féle, 1876-ból származó elmélettel lehet megmagyarázni.

WITT szerint ugyanis két feltétele van annak, hegy valamely szerves vegyület színes, illetôleg festék lehessen: a molekulájában legyen úgynevezett chromophor (magyarul : színhordozó) csoport és ehhez úgynevezett auxochrom (magyarul: színkifejlesztô) gyök kapcsolódjék. Ha csupán az elôbbi feltétel teljesül, akkor chromogén csoportról van szó. Ez magában véve lehet színtelen vagy esetleg színes is, de mégsem igazi festék. Szüksége van a kiegészítô auxochrom gyökre. Az auxochrom gyökök sorában az aminogyök (NH2) és a hidroxilgyök (OH) a legfontosabb és leggyakoribb.

A Witt-féle elmélettel nem lehet a szerves festékek igazi festôanyag voltát és a színnek a szerkezetét kielégítôen megmagyarázni; egész sereg újabb elmélet próbálta hibáit kiküszöbölni. Általános érvényû szabályokat azonban egyik utód sem hozott, s ezért a természetes festôanyagok rövid áttekintésénél a legcélszerûbb WIIT elméletéhez ragaszkodnunk.

Mivel WITT elmélete szerint az auxochrom gyökök nem fajlagos megkülönböztetôi, hanem közös alkotórészei a szerves festékeknek, világos, hogy a csoportosításnak csakis a chromophor csoport lehet az alapja. A rendszerbefogladást kissé megnehezíti azután, hegy egy-egy festékben több chromophor csoport is lehet, igen változatos variációkra nyílik e szerint lehetôség.

A chromophor csoportok szerint elsônek a szerves festôanyagoknak azt a családját vehetjük szemügyre, amely etilén kettôs kötéseknek >C=C<  köszönheti színezôanyag jellegét.

KUHN és WINTERSTEIN kutatásai alapján tudjuk, hcgy a kettôs kötéseket tartalmazó (telítetlen) szénhidrogének általában hosszabb hullámú sugarakat nyelnek el, mint a megfelelô telített vegyületek. Ahhoz továbbá, hogy észrevehetôen színes legyen a vegyület, legalább 5-6 rendszeresen ismétlôdô kettôs kötésre van szükség. E festékcsoportot szerkezete miatt poliénfestékeknek, vagy legismertebb tagjáról karotinoidoknak hívják.

A vitaminok megismerése óta fokozott figyelmet szenteltek a kutatók a karotinnak, ennek a C40H56 összetételû szénhidregénnek. A karotin ugyanis elôvitaminja az A-vitaminnak, egy-egy molekulája kettéhasadva két-két molekula A-vitaminná alakulhat át az élô szervezetekben. Ez az élettani fontosság indokolttá teszi, hogy a karotin legalább egyik fajta módosulatának, az a-karotinnak a szerkezetét is bemutassuk.

1. ábra. Az a-karotin (C40 H56) szerkezeti képlete



Amint a szerkezeti képletbôl Iátjuk, az a-karotin hosszú szénatomláncú vegyülete nem teljesen szimmetrikus, a két vége egymástól elütô, s ez magyarázza meg, miért téríti el útjából a fénysugarat (optikailag aktív). Képzeljük el már most, hegy a szénláncnak mindkét végén az elôbb a jobboldalon látatt szerkezet szerepel, s akkor tisztában vagyunk a b-karotinnal is. Ha ez utóbbit a középvonalon elhasítjuk, két egymással teljesen megegyezô darabot kapunk. Folytatva a karotin váltazatainak sorozatát, a g-karotin következik. Ennél elmarad az egyik lánc végén a zárt szerkezet, kinyílik a kör. Ha végül ez a nyitott szerkezet a láncnak mindkét végén megjelenik, a paradicsom festôanyaga, a likopin áll elôttünk. Érdekes egyébként, hegy a karotinnak, ennek a közismert sárga festôanyagnak mindhárom módosulata egészen tiszta, kristályos alakban, ibolyaszínû prizmák képében jelentkezik. A növényvilágban nagyon elterjedt ez a festékcsoport, a természet festôpalettájának kedvenc színei a karotinoidok sorából kerülnek ki. Az elôbb említettek közül a karotin nemcsak a sárgarépának a fô festôanyaga, hanem kisebb-nagyobb mennyiségben elõfordul a fûfélékben, a csalánban, sok gyümölcsben és néhány virágban (pl. sárga nárcisz). Hasonlóképen a likopin elterjedése sincsen csupán a paradicsomra korlátozva, hanem más növényi termésben és gyümölcsben is megtalálható. Az érett görögdinnye húsában pl. a paradicsom és a sárgarépa festékének, azaz a likopinnak és a karotinnak a keveréke a festôanyag. Aszerint, hogy a piros likopinból, avagy a sárga karotinból van több, a dinnye színe is a sötétvöröstôl a halványsárgáig váltakozni szokott. A vadrózsa jólismert terméseinek is a likopin adja meg piros színüket. A paprikában ugyancsak megtalálható a karotin és a likopin egész sereg más festôanyag kíséretében.

Meg kell ugyanis jegyeznünk, hogy a természetben távolról sinesenek meg az elméletileg elképzelt teljes elkülönítések. Amint az anyagcsere sem egyszerû  oxidáció, hanem rendkívül bonyolult, Iépcsõzetesen lejátszódó reakciókból összetett és a szervezet pillanatnyi szükséglete szerint változó módon lejátszódó folyamat, úgy a növények világának színeit sem egészen egységes, egyetlen festôanyagból álló vegyületek okozzák. Jóformán minden növény levelében, virágjában és termésében összetett festékrendszerbôl, rendszerint egy-két fôalkotórészbôl és számtalan kis mennyiségben jelenlévô kísérô festékanyagból áll a színt adó vegyületcsoport. Valahogy úgy képzelhetnõk a dolgot, mintha csak az általános utasítás volna nagy vonalakban meghatározva a növényfaj szerint. Hogy azután az egyed a sok reakciólehetôség közül melyiket használja ki és a növény "nyersanyagaiból", a vízbôl, levegôbôl és a napfénybôl a bonyolult katalitikus reakciók eredményeként milyen arányban állítja elô a fôfestékeket és milyenben a kísérôanyagokat, az az egyodi tulajdonságoktól, a körülményektôl és az átöröklött hajlamoktól függ.

A festékrendszer bonyolultságát Iegjobban egy minden magyar embert érdeklô példával, a paprika festõanyagaival mutathatjuk be. ZECHMEISTER és CHOLNOKY kutatásai kiderítették, hogy az érett paprikának poliéneszterekbôl áll a festôanyaga, ez azonban távolról sem tekinthetô egységes anyagnak, hanem színes viaszok keveréke. Az elôbb felsorolt poliénfestékek közül b-karotin és nyomokban a-karotin van ebben a viaszkeverékben, a poliénalkoholok sorából pedig a capsanthin, capsorubin, zeaxanthin, lutein, kryptoxanthin és néhány eddig ismeretlen szerkezetû poliénfesték található benne. Ez utábbi festékek különféle szerves savakhoz kapcsolódva, természetesen igen sok változatban szerepelhetnek. Ugyanaz a poliénalkohol hol palmitinsavval, hol stearinsavval, miristinsavval, carnaubasavval, vagy olajsavval alkothat esztereket, esetleg két-két savval is képezhet vegyületeket. Egyáltalán nem túlzás tehát a kutatóknak az a meglepôen ható állítása, hogy az érett paprika terméshúsában legalább száz egymástól különbözô festôanyag szokott jelen lenni. Mennyiségileg az összes többi festéket a capsanthin szárnyalja túl, ez tehát a fô festékanyag, amely mellett a többiek aránya természetesen a paprika fajtája és egyedei szerint elég tág határok között váltakozik.

Okunk van feltenni, hogy ez a részletesen megvizsgált eset nem egyedülálló, hanem jóformán áll a természet minden színes anyagára. Mindenütt kísérôanyagok szerepelnek a fô hatóanyagok mellett. Hasonló természetûek a növények zamat- és illatanyagai is. A jellegzetes fôalkotórészt finom érzékkel összeválogatott és az igazi zamatot tökéletes biztonsággal megadó mellékanyagek kísérik. Ez teszi annyira, nehézzé a természetadta zamatnak, íznek és illatnak a tökéletes utánzását. Ezért bonyolult és ezért kerülne sokba ezeket a természetes vegyületkeverékeket a laboratóriumban elôállítani. Rendesen megelégszenek a fôalkotórészek elegyítésével, ami felületes szemlélôben, avagy gyári tömegcikkekhen megközelíti a természetes anyagnak érzékeinkre gyakorolt hatását.

Térjünk azonban vissza a >C=C< kötésû chromophor csoport többi festôanyagához. Eddig a tisztán szénbôl és hidrogénbôl álló poliéneket ismertük csak meg, van azonban sok olyan polién is, amelyben már oxigén is van. Ezeket a poliénalkoholokat gyûjtônéven xanthophylloknak hívják. Szerkezetükben a hosszú szénláncokat a jellegzetes kettôs kötések tarkítják és a láncok végén megjelennek a karotinoknál ismertetett különleges atomcsoportok. Említésre méltók e sorozatban a következô festôanyagok.

A kryptoxanthin, C40H56O, a kukoricának és a paprikának sárgásvörös festôanyaga, sok bogyóban is megtalálható. A kristályalakban vöröses Iutein, C40H56O2, a növényvilágban igen elterjedt sárga festék. Sok van belôle a csalánban. Rendszerint a levelek zöld festôanyagának, a klorofillnak a kísérôje. Ugyanilyen az összetétele, csak más a térbeli elrendezôdése a kukorica jellegzetes halványsárga festôanyagának, a zeaxanthinnak.

A sorban most egy oxi-gamma-karotin, a rubixanthin következik. Ez színezi rézvörössé a csipkerózsa bogyóit. Három OH-csoport van a szironták élénksárga szirmainak festôanyagában, a fIavoxanthinban. Az ibolya szirmaiból egy barnásvörös oszlopkákban kristályosodó festôanyagot különítettek el. Ennek a violaxanthinnak négy OH-csoport szerepel a molekulájában. Ugyancsak négy hidroxilt találtak a pitypang szirmait élénksárgára festô taraxanthin molekuláiban. Végül valóságos OH-halmozást Iátunk a barna moszatok festékjének a szerkezetében. Ez a fucoxanthinnak elnevezett poliénalkohol ugyanis hat hidroxilcsoporttal dicsekedhetik.

Ha azután az alkoholok savakkal kombinálódnak, újabb színváltozatok jönnek létre. Ezek közül a természetadta eszterek közül "látásból" mindnyájan ismerjük a helenient. A luteinnek ez a dipalmitinsavas esztere festi narancsszínûre a Peruból hozzánk került kerti virágnak, a sarkantyúkának szirmait. A zeaxanthinnak ugyanilyen eszterét, a physalient, a kukoricában és sok bogyós gyümölcsben találták meg a kutatók. A caricaxanthin pedig a kryptoxanthinnak az esztere s a Carica Papayában, ebben a trópusi gyümölcsben szerepel színezôanyagként. A sorozat végére illeszthetjük a tiszafa termésének vörös festékanyagát, a rhodoxanthint. Ez nem alkohol, nem is eszter, hanem kettôs keton. A hosszú, negyven szénatomos lánc mindkét végén ugyanis egy-egy ketoncsoport (C=O) szerepel.

A nagyven szénatomos karotinoidok lebontása révén képzôdhetnek olyan kisebb szénláncú vegyületek, amelyek közt ugyancsak akadnak szép színárnyalatú festékanyagok. Említésreméitó ezek sorában a sáfrány élénksárga színezôanyaga, a narancsszínû oszlopkákban kristályosodó azafrin (C27H38O4). Ennek a szerkezetében érdekes, hogy a rendszeresen ismétlôdô kettôs kötéseket mutató szénlánc egyik végén a karotinnál találthoz hasonló atomcsoport foglal helyet, magában foglalva két OH-csoportot. A lánc másik végzôdése nyított: egy COOH-gyök zárja le. Az azafrin szakszerû meghatározása tehát: dioxi-karbonsav. Van a sáfrányban egy másik karbonsav-festék is, a crocetin (C20H24O4). Ez azonban glükózhoz kapcsolódva fordul elô a növényben. A szénatomok láncának mindkét végén karbonsav azerepel a Bixa orellana nevû délamerikai növény festékanyagában, a bixinben (C25H30O4). Vegytiszta, kristályos állapotban barnásvörös ez a vegyület, a természetben pedig nagy hígításban fordul elô és tetszetôs élénksárgára festi a termést.

A vegyészek és gyógyszerészek jó ismerôsével, a kurkumával zárhatjuk le a chromophor csoportok e sorát. A kurkumapapiros igen elterjedt indikátor, savanyú közegben sárgásvörös a azíne, lúgos oldatban pedig vörösesbarnává sötétül. Színezôanyagát, a kurkumint, a természet évezredek óta elôállítja, a vegyészek azonban csak 1918 óta tudják a felépítést a laboratóriumokban utánozni. Teljesen szimmetrikus a szerkezete:

2. ábra. A kurkumin szerkezeti képlete





Festôanyag jellegét kétféle chromophor csoport adja meg, a  >C=C<  gyökök mellett ugyanis két  >C=O gyök is szerepel benne. Kristályos állapotban élénk narancsszínû.

>C=O és  >C=C<  csoportok a chromophorok a következô csoportban is, itt azonban már nem találunk hosszú, nyílt szénláncot (alifás vegyületeket), hanem C6H6 csoportok (benzolgyûrûk) alkotják a festôanyag szerkezetét.

Néhány gomba színezôanyagával kezdhetjük a felsorolást. A zsemlyegomba-fajták (Polyporus) ibolyástól barnáig váltakozó színárnyalatait a polyporsav jelenléte okozza. Ennek szerkezete egyszerû, de szépen szimmetrikus. Vegytiszta állapotban haragos ibolyaszínnek a kristályai. E festékcsoport szerkezetének felderítését KÖGLnek köszönhetjük. 1928-ban sikerült tisztáznia, hogy cinkporral lepárolva, három benzolgyûrûbôl álló vegyület, a terphenyl képzôdik belôlük. Ez igazolta tehát, hogy az eredeti festékekben is három egymáshoz kapcsolódó benzolgyûrûnek kell lennie, miként a polyporsav alábbi szerkezeti képlete mutatja.

3. ábra. A polyporsav (3,6 dioxy-2,5-diphenyl-4-benzochinon) szerkezeti képlete



Ha azután a polyporsav két szélsô benzolgyûrûjébe egy-egy OH-csoport lép be szimmetrikusan, a bársonyostönkû cölöpgombának (Paxillus atrotomentosus) sárgásbarna, bronzszínû festôanyaga alakul belôle. A cölöpgomba latin nevérôl atromentinnek nevezték el ezt a festõanyagot.

A mérges gombák királyának, a légyölô galócának egyik színezôanyaga, a narancsszínû muscarufin is ebbe a csoportba tartozik.

A hármas benzolgyûrûre ebben az esetben a két oxigénátomon felül egy OH–, két COOH– és egy telítetlen CH=CH–CH=CH–COOH lánc akaszkodik reá. Nincs még teljesen igazolva, de valószínû, hogy a gombában nemcsak ebben az oxitrikarbonsavas alakban, hanem glukózhoz kötötten is jelen van ez a festôanyag.

Három benzolgyûrû található a sátángomba (Boletus satanas) festôanyagának, a sárga színû boletolnak a szerkezetében is. Egyúttal azonban nem a polyporsavnál látott módon kapcsolódik egymáshoz a három benzolmag, hanem anthrachinon-kötésben.

Ismeretes, hogy ennek a gombának élénksárga színû húsa a felmetszés után a levegôn hamarosan megpirosodik, majd megkékül. KÖGL szerint ez a színváltozás egyszerû oxidáció eredménye. Egy gyors hatású erjesztô lép mûködésbe s a levegõ oxigénjével egyesíti a boletol jobboldali benzolgyûrûjére kapcsolt OH-csoportok hidrogénjeit. Az ekként képzôdô dichinonnak kék a színe. Ez a rövid idô alatt lejátszódó vegyi folyamat természetesen nincs összefüggésben a sátángomba mérgezô hatásával, de elegendô ahhoz, hogy elijessze az embert. Az ijedtségbôl azután bámulat lesz, ha megértjük, milyen bonyolult reakció ez az enyhe oxidálódás. Szégyenszemre be kell vallanunk, hogy bizony a vegyészeknek különleges vegyszerekre, óvatos hevítésre és nagy tudásra van szükségük, hogy "lekapcsolják" a hidroxilcsoportok hidrogénjeit anélkül, hogy egyéb változás történjék a vegyülettel. A vadon termô erdei gomba parányi "vegyi gyárá"-ban a saját maga termelte erjesztô pillanatok alatt biztos eredménnyel elintézi az enyhe oxidálást, mégpedig pompás kitermeléssel.


 

4. ábra. A boletol (trioxyanthrachinon-karbon sav) szerkezeti képlete (balra)
5. ábra. A boletol kék színû oxidációs terméke, dichinonja (jobbra)




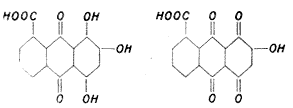
Anthrachinonos a szerkezete a festôbuzér színezôanyagának, az alizarinnak is. Az anthrachinonban csupán a középsô benzolgyûrûhöz van két O-atom chinonkötésben hozzákapcsolva, az alizarinban, ebben a szép vörös festôanyagban pedig a jobboldali benzolmagon még két OH-csoport is függ. Évszázadokig igen nagy volt a természetes alizarin ipari jelentôaége. GRAEBE és LIEBERMANN 1868-ban fedezte fel az alizarin vegyi szerkezetét s ettôl már csak egy lépés volt a laboratóriumi felépítés megvalósulása. A vegyi gyárak versenyét nem bírta el a természetes buzérfesték, úgyhogy ma már nem is termesztik. Van a buzérban az alizarinon felül is egy másik anthrachinon-szerkezetû festôanyag, a purpurin. Szakszerû elnevezése 1, 2, 4-trioxianthrachinon, ami annyit jelent, hogy az egyik benzolgyûrûjén nem két, hanem három OH-csoport függ. Érdekes, hogy ennek az egyetlen OH-csoportnak a hozzákapcsolódása a vörösbôl a bíborszín felé tolja el a vegyület színét.
A baloldali benzolgyûrût kibontva látjuk egy másik festôgyökér színezôanyagának szerkezetét. Az alkanna festôanyagának, az alkanninnak ugyanis a következôképen ábrázolhatjuk az összetételét.

6. ábra. Az alkannin szerkezeti képlete




Érdemes megemlíteni, hegy ez a vörös festôanyag optikailag aktív, aránylag igen erôsen balra téríti a fénysugarakat. Szimmetriátlan szerkezete magyarázza ezt a viselkedését. Ritka azonban az az eset, hogy a természetes festékek sorában optikai ellenlábasát, a fénysugarat jobbra forgató vegyületet is megtalálhassuk. 1922-ben fedezték fel ugyanis MAJIMA és KURODA japán vegyészek a shikon nevû japán növény gyökerében a C16H16O5 összetételû és az alkanninnal megegyezô azerkezetû vegyületet, amely optikailag ellentétes hatású. Az elôfordulás megjelölésére shikoninnak nevezték el ezt az ugyancsak vöröses színû festékanyagot.

Folytatás

Elõadó http://www.chemonet.hu/
http://www.kfki.hu/chemonet/