Kezdőlap-Home Page
Archívum-Archives
Linkek-Links
Letöltés-Download
Szerkesztőbizottság-
Editorial board

II. évfolyam 3. szám 2001. július
Volume 2 - No  3 - July 2001

Tartalomjegyzék - Contents

Introductory paper

G.Kaptay: On the activity of the LIMOS R&D Group in the field of ‘Materials World’ [ENG] 

Interface Science

E.Bader: Wettability of Alumina by Liquid Magnesium and Liquid AZ91 Alloy [ENG] 

L.Zoltai: Prediction of wettability between liquid metals and covalent ceramics [ENG] 

A Borsik: Dynamic simulation of the movement of ceramic particles in front of moving solidification front [ENG] 

Electrochemistry

S.V.Devyatkin: Influence of different conditions of electrochemical synthesis on the structure of the deposited refractory compound coatings [ENG] 

I.Sytchev, H.Kushov: Voltammetric Investigation of the Reduction Processes of Nickel, Cobalt and Iron Ions in Chloride and Chloro-Fluride Melts [ENG] 

M.S.Yaghmaee, E.Cserta, Á.Kovács, M.Árk: Carbon Micro-Tubes Produced by Electrochemical Synthesis from Molten Salts [ENG] 

G.Kaptay: On the Possibility to Produce a MgB2 Superconductor Layer by Electrochemical Synthesis from Molten Salt [ENG] 

Chemical Thermodynamics

M.S.Yaghmaee, G.Kaptay: On the stability range of SiC in ternary liquid Al-Si-Mg alloy [ENG] 

G. Kaptay, G. Csicsovszki, M.S.Yaghmaee: Estimation of the absolute values of cohesion energies of pure metals [ENG] 

Industrial Applied Research

M.Z.Benkő: On the computer software for the LD converter at the Dunaferr Works [ENG] 

[HUN] - Magyar cikk
[ENG] - English article

 


On the Stability Range of SiC in Ternary Liquid Al-Si-Mg Alloy

M.S.Yaghmaee, G.Kaptay

LIMOS R&D, Department of Physical Chemistry,
Faculty of Materials and Metallurgical Engineering, University of Miskolc,
3515 Hungary, Miskolc, Egyetemvaros

Abstract
The thermodynamic analysis of the SiC/Al-Si-Mg system has been performed in order to find the conditions to produce SiC/Al-Si-Mg composite materials with the stable SiC/alloy interface and with the solidification of primary a -Al solid solution. A certain minimum critical Si-content of the melt is needed to avoid the formation of Al4C3 at the SiC/liquid alloy interface. The critical Si-content has been found to increase both with temperature and Mg-content of the melt. Hence, both temperature and the Mg-content of the alloy should be kept as low as possible to avoid formation of Al4C3. Our calculated results are in good agreement with industrial practice, using Al-7Si and Al-7Si-0.3Mg alloys as matrixes to be reinforced by SiC particles. The equations presented in this paper can be used to search for another compositions and working temperatures of the process. It has also been found that to stabilize b -SiC lower Si-content is needed (and higher working temperature is allowed), compared to the requirements to stabilize the less stable form of SiC: a -SiC. Nevertheless, reasonable working conditions have also been found to stabilize a -SiC in the Al-Si-Mg liquid alloy.

Keywords: metal matrix composites, interface reactions, Al-Si, Al-Si-Mg, SiC, Al4C3

 

1. Introduction

Compared to the metallic alloys, ceramic particulate metal matrix composites (MMCs) provide higher strength and stiffness, better thermal properties and better creep, and dimensional stability. One of the most wide-spread ceramic-metal combinations for MMCs is the SiC/Al system, characterized by good wear resistance, high strength, low density, and high thermal conductivity [1]. The Al/SiC composites are usually produced with the Al-7Si, or Al-7Si-0.3Mg matrix [1]. The relatively high Si-content is added to the matrix mainly to compress the formation of Al4C3 reaction product at the Al/SiC interface, according to the following heterogeneous chemical reaction:

(1)

where “l, alloy”: for the component as a part of the liquid alloy,

“s, pure”: for the component as in the pure, solid state.

Aluminum carbide has a negative effect on the usability of the Al/SiC composite. From the one hand, it is an extremely brittle phase, and hence it lowers the fatigue resistance and thermal stability of the composite. From the other hand, it is water reactive, causing corrosive sensitivity of the composite.

The goal of the present paper is to calculate the temperature and composition regions of the stability of the SiC phase in the liquid Al-Si-Mg matrix. The subject of stability of SiC in Al-alloys obtained considerable interest since SiC/Al MMCs have been studied and produced [2-32]. In addition to referring the reader to the review papers on the subject [4, 16, 19, 27], let us mention some particular results published in papers [2-32].

As long as 31 years ago Resrtall et al [2] already observed that a 3 m m thick reaction layer was formed on CVD filaments held in Al at 680 oC for 15 min. 11 years later, Kohara [3] performed long term heat-treatment studies of Al-coated SiC fibres, and observed a 25 % strength loss after 25 hours at 600 oC. However, no loss in strength was observed when the fibres were coated by Al-1%Si alloy. Kohara [3] also found that the 1 % Si alloying does not provide effective protection in liquid state – at 800 oC during 30 minute contact between the liquid alloy and SiC fibres, 50 % and 25 % loss in strength was obtained for pure Al and Al-1%Si alloy, respectively.

Lloyd and Dewing [6] found, that in the Al-Zn-Mg/SiC composite at 675 oC reaction (1) was taking place, and as the result of increased Si-content of the melt the liquidus temperature decreased from 630 to 610 oC within 1 hour of holding time.

Lloyd and Jin [7] calculated the critical Si-content to avoid reaction (1), but only for the binary Al-Si system. Their first calculation results were successfully used to explain previous and later experimental results. Our goal is to extend their thermodynamic study to the ternary Al-Si-Mg system.

Lloyd and Chamberlain [8] found, that in 15 vol.% SiC/Al-7Si-0.3Mg during 2 hours of holding time at 750 oC clean SiC/matrix interface was detected (i.e. no Al4C3 was found). However, at 800 oC in the same system the formation of Al4C3 was detected, although its rate of formation was quite slow.

Baumer [15] experimentally studied the difference between Al-7Si and Al-9Si alloys, during their 4 hours contact with 20 vol% SiC particles. It has been shown that at 720 oC no Al4C3 formation was observed in none of the alloys. At 745 oC, however, aluminum carbide was observed in the Al-7Si alloy, but not in the Al-9Si alloy. At 765 oC, Al4C3 was formed in both materials. These experimental results indicate the sensitivity of this system to relatively small variations in temperature.

Salvo et al [17] in a series of experiments showed the empirical relationship of the critical Si-content as function of temperature. Despite the relatively big scatter of experimental points it is obvious that the critical Si-content increases with temperature.

Pai et al [19], discussing the role of Mg in reaction (1) concluded, that if SiC is not oxidized, Mg has no specific role during the synthesis, as it does not participate in reaction (1) in a straightforward way. As will be shown by us later, Mg actually has a serious effect, through influencing the activity coefficient of Si in the ternary Al-Si-Mg alloy.

Lienert et al [25] studied electron beam welding and CO2 laser beam welding of a -SiC/Al-7Si-0.3Mg composite materials. Al4C3 needles attached to SiC particles were identified after both electron beam and laser beam welding, while the Si-content of the matrix increased from 7 % to 9-14 %. The amount of Al4C3 was smaller for the electron mean welding, and it decreased with distance from the top center of the welds. The difference between the two welding methods is due to the different peak temperatures during the two processes. Hence, in composites, being originally free of Al4C3 at the SiC/Al-alloy interface due to moderate temperatures of production, Al4C3 can form during short times of high-temperature treatments, such as welding of composite parts.

Lee et al [30], studying the interaction in SiC/Al 2014 alloy (with 1 % Si) during 2 hours at 600 oC, found an increased amount of Si in the matrix, but the presence of Al4C3 could not be identified by XRD. However, nanosized Al4C3 crystals were observed on the surface of SiC particles by SEM [30]. In order to prevent the formation of Al4C3, the surface of SiC particles were oxidised. The SiO2 layer was reacted during the liquid metal process with the Al-Mg-Si matrix to give a protective MgAl2O4 surface layer. This layer provides more than twice bonding strength at the interface compared to Al4C3. Similar conclusion were made earlier by Pai et al [19] on the role of Mg in preparing composites with SiC of oxidized surface.

Gacsi et al [31-32] investigated the pure Al-SiC system using two different techniques. Solyom and Gacsi [31] mixed and sintered Al and SiC powders at 640 oC for 6.5 hours. As a result, the ternary Al4Si2C5 phase has been detected at the interface between the SiC and Al particles. It should be mentioned that this is the first paper when the formation of a ternary carbide phase is identified, although their existence is clear from diffraction databases [33] (note: in our thermodynamic analysis these ternary phases will be omitted due to lack of information on their thermodynamic stability). After sintering the same Al/SiC powders during 2 hours, the composite was laser-remelted by Gacsi et al [32]. Although the Si-content of the Al-matrix considerably increased (even upto 7 % from practically 0 %), Al4C3 was not possible to identify in the system by XRD, similarly to results of Lee et al [30].

Finally we can conclude that the following facts have been well established both experimentally and theoretically:

  1. reaction (1) takes place even in solid state, if no Si is present originally in the Al-alloy,

  2. in addition to Al4C3, also Al4Si2C5 can be formed at the interface, at least at 640 oC,

  3. reaction (1) can be avoided if the original Si-content of the melt is above than a certain critical value,

  4. the critical Si-content increases with temperature,

  5. the above is true for SiC of non-oxidised surface; however, if the surface of SiC is oxidised, this might protect the core SiC from reactions, especially if this oxide layer is converted into MgAl2O4 layer by the reaction with an Al-Mg-Si alloy,

  6. the effect of Mg on the critical Si-content of the melt has not been studied yet; the basic goal of this paper is to add this piece of information to the existing set of data.

For the calculations the FactSageTM5.0 software package and data-bank [34] was applied, purchased by the Faculty recently. Hence, this paper can be considered also as an illustration of the capabilities of this commercial software for high-temperature applications. Three independent parameters, influencing the yield of reaction (1) will be studied in this paper: temperature (T), mole fraction of Si (xSi) and mole fraction of Mg (xMg) in the liquid Al-matrix. In principle, pressure will also influence the yield of reaction (1). However, pressure usually has a negligible effect on solid-liquid state reactions, and therefore this question will not be considered in this paper. From the practical point of view this simplification is justified, as the highest pressure at the Al/SiC interface, used for pressure infiltration technique is around 250 MPa. As the volume change accompanying reaction (1) has an order of magnitude of 10-6 m3/mol, the Gibbs energy shift due to this high pressure has a magnitude of 250 J = 0.25 kJ for reaction (1). As will be shown later, the difference in Gibbs energies of reaction (1) for the two (a and b ) modifications of SiC provides a difference higher by a magnitude than this change (about 6 kJ for reaction (1)).

2. On the Two Allotropic Forms of SiC

At normal pressures SiC is known in two allotropic forms, in the so-called a -SiC and b -SiC. Although b -SiC is thermodynamically more stable in the temperature region studied, the stability difference between the two allotropic forms is so small that a -SiC is also available in a meta-stable form. The standard Gibbs energy change and the equilibrium constant of reaction (1) are presented as function of temperature for both allotropic forms of SiC in Fig.1. The average difference of about 6 kJ/mol between the two allotropic forms of SiC can be seen from Fig.1.

    Fig.1. The standard Gibbs energy change and the equilibrium constant of reaction (1) as function of temperature

     

3. The Principle of Calculations

As neither SiC, nor Al4C3 has any considerable solubility in each other, or in the liquid Al-Si-Mg phase, the calculation of the stability range of SiC is relatively simple. According to reaction (1), SiC will be stable, i.e. Al4C3 will not form at all, if the activity of Al4C3 is lower than unity, i.e, if the following condition is fulfilled.

    (2)

    where K: the equilibrium constant, being only a function of temperature T,

    ai: activity of component i, being equal unity for all pure phases, such as SiC,

    xi: mole fraction of component i,

    g i: activity coefficient of component i in the liquid alloy phase, being a function of

    temperature and of the composition of the liquid alloy – these data were taken from

    the “Lite-Liq” data file of the FactSageTM5.0 software [34].

The condition represented by Eq.(2) will be solved for xSi =xSicr, at which aAl4C3 = 1. This condition can be generally expressed by n independent parameters in an n-component liquid alloy (if the effect of pressure is neglected): namely temperature and the concentration of (n-1) solutes of of the melt. In this paper the conditions to fulfil Eq.(2) will be found for the binary Al-Si and ternary Al-Si-Mg system, as function of T, xSi and xMg.

     

4.The Al-Si-C Phase Diagram

In Fig.2.a-b the isothermal sections (at 950 K) of the Al-Si-C phase diagrams are shown for a -SiC and b -SiC respectively, calculated using the FactSageTM5.0 software. There is one line-compound (SiC) at the Si-C side, and one line-compound (Al4C3) at the Al-C side of the diagram. At the Al-Si side a liquidus point (at about 0.2 of Si mole fraction at 950 K), and a point (at about 0.09 mole fraction of Si), corresponding to the critical Si-content can be observed. This critical point corresponds to condition (2) for the binary Al-Si system at 950 K.

The 4 points on the binary sides of the phase diagram are connected by 4 straight lines, dividing the diagram into 5 regions. Our goal is to work in the two-phase region 3 (see Fig.2.a-b.), with the stable pure solid SiC and liquid alloy phases. From Fig.2.a-b. one can see, that in the Al-Si side of the diagram, in addition to the lower critical Si-content there is also a higher critical Si-content, corresponding to this condition. Principally a certain multi-component, Al-Si-based composition can exist, at which these two conditions overlap and therefore the protection of SiC by Si dissolved in the liquid metallic phase becomes impossible.

Comparing the critical Si-content, dividing regions 1 and 3 in Fig.2.a-b., one can see that the value of the critical Si-content is higher for the less stable a -SiC, what is in agreement with Fig.1. and Eq.(2) (as a -SiC has higher value of K at a particular temperature compared to b -SiC).

It should also be noted, that ternary carbide phases are not given in [34], hence they are not taken into account in the present paper, at all, and thus they are not given in the phase diagram, either.

 

5. The Stability Range of SiC in Liquid Binary Al-Si

In Fig.3.a-b. the temperature dependence of the critical silicon content of the melt is shown for a -SiC and b -SiC. The two critical lines can be approximately written as:

(3.a)

(3.b)

In both cases the xSicr value increases with temperature, mainly due to the increase of the equilibrium constant with temperature (see Fig.1). Hence, the ‘working zone’ for MMCs production with the stable SiC/Al interface is situated under these lines. The ‘working zone’ will be also limited by the liquidus lines of the hypoeutectic composition, as the production of MMCs requires liquid Al-Si alloy. If one wants to avoid the formation of primary Si phase upon crystallization, the Si-content should be kept below the eutectic concentration (xSieut = 0.122, [37]). If this limitation is also taken into account, the resulting ‘working zone’ is shown by the dashed area in Fig.3.a-b. Within these ‘working zones’ the production of MMC can be conducted with a stable SiC/Al interface for the binary Al-Si melts. Our results given in Fig-s 3.a-b are in good agreement with the existing literature [ 1, 7, 8, 15, 17] .

As one can see from Fig.3.a-b., the minimum Si-content, at which the Al-Si system is liquid and the SiC/Al-Si interface is stable equal to xSicr = 0.081 (at T = 875) for a -SiC and xSicr = 0.068 (at T = 885) for b -SiC. In terms of weight % it means 8.403 % for a -SiC and 7.058 % for b -SiC.

It can also be seen from Fig-s. 3.a-b. and Eq-s.(3.a-b), that the maximum temperature of the process allowed is 1073 K (800 oC) for a -SiC and 1158 K (885 oC) for b -SiC, if the composition of the melt is fixed at the eutectic composition. In other words, the production of the SiC/Al-Si composite should be performed as close as possible to the liquidus temperature to decrease the danger of the formation of Al4C3.

Fig.2.a. The calculated isothermal section of the Al-Si-C phase diagram at 950 K with a -SiC

Fig.2.b. The calculated isothermal section of the Al-Si-C phase diagram at 950 K with b -SiC.

Fig.3.a. The ‘working zone’ of production of MMCs with stable a -SiC/Al-Si interface

 

 

Fig.3.b. The ‘working zone’ of production of MMCs with stable b -SiC/Al-Si interface

 

 

  1. The Stability Range of SiC in Liquid Ternary Al-Si-Mg System

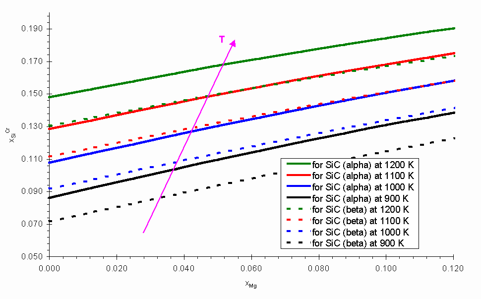
The results of calculations of the critical Si-concentration in the ternary Al-Si-Mg system is shown in Fig.4, as a function of the Mg content of the melt at different temperatures for a and b type SiC. From Fig.4 one can see that the difference of about 6 kJ for reaction (1) between the a-SiC and b-SiC converts to about 85 - 100 K temperature difference for a given Si-content.

Fig.4. The critical Si-concentration as function of the Mg content of the melt at different temperatures, calculated for a-SiC, and b-SiC

 

Adding magnesium to the Al-Si melt will increase the critical Si-concentration requested to keep the SiC/Al-Si-Mg interface stable. This linear relationship (see Fig.4) can be approximately written as (in the range of 0 … 0.051 % of Mg):

(4.a)

(4.b)

(4.c)

The ‘working zone’ to ensure stable SiC/Al-Si-Mg interface is situated above the Si-content described by Eqs(4.a-c). On the other hand, the working zone is limited by the liquidus surface in the ternary Al-Si-Mg system (the working temperature should be above), by the eutectic valley starting from the binary Al-Si eutectic points, and leading to the ternary Al-Si-Mg eutectic point, and also by the solidification path along the liquidus, leading from the ternary eutectic point to pure Al-corner of the diagram. An example of a ‘working zone’ is shown in a 903 K isothermal section of the ternary Al-Si-Mg phase diagram in Fig-s.5.a-b. The data concerning the eutectic valleys, binary and ternary eutectic points were taken from [35, 36, 37].

Fig.5.a. The 903 K isothermal section of the Al-Si-Mg phase diagram showing a ‘working zone’ with stable a -SiC/Al-Si-Mg interface

 

Fig.5.b. The 903 K isothermal section of the Al-Si-Mg phase diagram showing a ‘working zone’ with stable b -SiC/Al-Si-Mg interface

 

It can also be shown, that the maximum temperature of the process with a stable SiC/Al-Si-Mg interface can be found at xMg = 0, and equals the maximum temperature found above for the binary Al-Si. The lowest values of the maximum temperatures allowed for the stable interface can be found from the intersection of the critical Si-content curve by the ternary eutectic point. It has been found 990 K (= 717 oC) for a -SiC and 1074 K (801 oC) for b -SiC. In other words, if the concentration of Mg is increased from xMg = 0 to 0.051 [35-37], and the Si-content is changed along the eutectic valley from xSi = 0.122 to xSi = 0.126 [35-37], the possible temperature range interval changes as follows:

  1. the minimum allowed temperature decreases from 850 to 833 K, i.e. by 17 K,

  2. the maximum allowed temperature decreases for a -SiC from 1073 K to 990 K, i.e. by 83 K,

  3. the maximum allowed temperature decreases for b -SiC from 1153 K to 1074 K, i.e. by 79 K.

Thus, we can conclude that the addition of Mg to binary Al-Si alloy decreases both the possible intervals of temperature and Si-content, corresponding to the stable SiC/liquid alloy interface.

 

Conclusions

Based on the thermodynamic analysis of the SiC/Al-Si-Mg system, the “working zone” (temperature, Si-content, Mg-content) has been found, within which the SiC/Al-Si-Mg interface remains stable, and the formation of the undesired Al4C3 does not take place at all. The ‘working zone’, ensuring the final MMC with stable SiC/matrix interface and primary a -Al solid solution crystals is limited by the following surfaces:

  1. as a lowest temperature, the limit is a liquidus surface, as the production of MMCs is conducted with liquid Al-Si-Mg alloys,

  2. as a highest temperature limit, T < 1073 K (= 800 oC) for a -SiC and T < 1158 K (885 oC) for b -SiC have been found, corresponding to the eutectic point in the binary Al-Si system. At any other composition the maximum allowed temperature is lower. For example, at the composition of the ternary eutectic, the highest temperature allowed is 990 K (= 717 oC) for a -SiC and 1074 K (801 oC) for b -SiC.

  3. as a highest Si-content of the melt, the limit is dictated by the eutectic valley, starting from the binary Al-Si point and leading to the ternary eutectic point,

  4. as the lowest Si-content, the stability interval is limited by Eq-s. (4.a-c), being a function of temperature and Mg-content of the melt.

  5. as a highest Mg-content of the melt, the stability interval is limited by the direct solidification path, drawn between the ternary eutectic point and the Al-corner of the diagram;

  6. There is no limit for the lowest Mg-content of the melt; in fact, decreasing the Mg-content of the melt the SiC/Al-Si-Mg interface becomes more and more stable.

It has also been found that to stabilize b -SiC, lower Si-content is needed (and higher working temperature is allowed), compared to the requirements to stabilize a less stable a -SiC. Nevertheless, reasonable working conditions have also been found to stabilize a -SiC in the Al-Si-Mg liquid alloy.

It should be reminded, that as SiC particles has a micrometer-size, in the calculation above the interfacial energies should have been taken into account as well, probably shifting the critical composition and temperature values found above. However, due to the lack of interfacial energy at the Al4C3/SiC interface, this effect could not be taken into account in the present calculations. Surface energies, however, probably do not play a major role in the present process, as our calculation results are in good agreement with the industrial practice using Al-7Si and Al-7Si-0.3Mg as matrixes to be reinforced by SiC particles [1-32].

It should also be reminded that ternary carbide phases between Al-Si-C were not taken into account in the present calculations, due to the absence of thermodynamic information on these phases in the FactSage software and in the known to us literature.

 

Acknowledgements

The authors are grateful to their colleagues at the Department of Physical Metallurgy of the same Faculty for their helpful discussions of the content of this paper: dr. Z.Gácsi, dr. J.Sólyom, dr. A.Roósz and J.Farkas.

 

References

  1. J.V.Foltz. and C.M.Blackmon: Metal Matrix Composites, Advance Materials & Processes 12/98, adapted from ASM handbook, Nonferrous Alloys, Vol.2

  2. J.E.Resrtall, A.Burwood-Smith, K.F.A.Walles, Metals and Mater, 4 (1970) 467-473

  3. S.Kohara, in: “Proc. of Japan-US Conf. on Composite Materials, Tokyo, Japan, ed. by K.Kawata and T.Akasaka, Japan Soc. for Composite Mater, Tokyo, 1981.

  4. R.Warren, C-H. Andersson: Composites, 15 (1984) 101-111.

  5. L.L.Oden, R.A.McCune, Met.Trans, 18A (1987) 2005-2014

  6. D.J.Lloyd, E.Dewing, in:”Proc. Int. Symp. on Advanced Structural Materials”, ed. by D.S.Wilkinson, Montreal, PQ, Pergamon Press, 1988, 71-78

  7. D.J.lloyd, I.Jin, Metall. Trans, 19A (1988) 3107

  8. D.J.Lloyd, B.Chamberlain, in: “Cast Reinforced Metal Matrix Composites”, ed. by S.G.Fishman and A.K.Dhingra, ASM, 1988, 263-269

  9. D.J.Lloyd, Compos. Sci. Technol., 35 (1989) 159-179

  10. D.J.Lloyd, H.Lagace, A.Mcleod, P.L.Morris, Mater.Sci.Eng., A107 (1989) 73-80

  11. C.A.Handwerker, M.D.Vaudin, U.R.Kattner, D.J.Lee, in “Metal-Ceramic Interfaces”, ed. by M.Ruhle, A.G.Evans, M.F.Ashby and J.P.Hirth, Pergammon Press, NY, 1989, 129-137

  12. J.C.Viala, P.Fortier, J.Bouix, J.Mater.Sci., 25 (1990) 1842-1850

  13. H.Ribes, M.Surey, G.L’Esperance, T.G.Legoux, Metall. Trans., 21A (1990) 2489-2496

  14. J.Narciso, C.Garcia-Cordovilla, E.Louis, Mater.Sci.Eng., B15 (1992) 148-154

  15. M.Baumer, in: “Proc. of 2nd Int. Conf. on Cast Metal Matrix Composites”, ed. by D.M.Stefanescu and S.Sen, University of Alabama, Tuscaloosa, USA, 1993, 263-269.

  16. D.J.Lloyd, Int. Mat. Reviews, 39 (1994) 1-23

  17. L.Salvo, G.L.Esperance, M.Suery, J.G.Legoux, Mater. Sci. Eng., A177 (1994) 173

  18. C.Dometakis, A.Jha, in: “Design Fundamentals of High Temperature Composites, Intermetallics, and Metal-Ceramics Systems”, ed. by R.Y.Lin, Y.A.Chang, R.G.Reddy, C.T.Liu – TMS, 1995, 57-71

  19. B.C.Pai, G.Ramani, R.M.Pillai, K.G.Satyanarayana, J. of Mat. Sci., 30 (1995) 1903-1911

  20. A.C.Ferro, B.Derby, Acta Metall. Mater., 43 (1995) 3061-3073

  21. W.M.Zhong, G.L’Esperance, M.Surey, Metall.Trans., 26 A (1995) 2637-2650

  22. G.Gonzalez, L.Salvo, M.Surey, G.L’Esperance, Scripta Metall. Mater., 33 (1995) 1969-1975

  23. J.C.Lee, J. Lee, H. I. Lee, Scripta Mater, 35 (1996) 721-726

  24. B.K.Hwu, S.J.Lin, M.T.Jahn, Mat.Sci.Eng., A206 (1996) 110-119

  25. T.J.Lienert, J.M.K.Wiezorek, H.L.Fraser, W.A.Baeslack, in: Processing, Properties and Applications of Cast Metal Matrix Composites”, ed. by P.K.Rohatgi, TMS, 1996, 33-54

  26. J.C.Lee, J.Y.Byun, C.S.Oh, H.K.Seok, H.I.Lee, Acta Metall., 45 (1997) 5303-5315

  27. T.P.D.Rajan, R.M.Pillai, B.C.Pai, J. of Mater. Sci., 33 (1998) 3491-3503

  28. J.C.Lee, J.Y.Byun, H.I.Lee, Acta Metall., 46 (1998) 1771-1780

  29. J.C.Lee, S.B.Park, H.I.Lee, Acta Metall, 46 (19898) 2635-2643

  30. J.C.Lee, J.P.Ahn, Z.Shi, Y.Kim, H.I.Lee, Met. and Mat.Trans, 31A (2000) 2361-2368

  31. B.Sólyom, Z.Gácsi, to be published in Microcad 2001, section Metallurgy, by the University of Miskolc, Hungary

  32. Z.Gácsi, J.Kovács, T.Pieczonka, G.Buza – to be published in Proc. of Spring Meeting 2001, held in Strassbourg.

  33. PDF1 Databases – JCPDS International Center for Diffraction Data

  34. C.W.Bale, P.Chartrand, G.eriksson, K.Hack, J.Melancon, A.D.Pelton, S.Petersen, W.T.Thompson: FactSage software and database, 2001

  35. A.Roósz, J.Farkas- private communication

  36. .S.Yaghmaee, Gy.Kaptay, in: “Proc of XX. Chemical Lectures Days, Physical Chemistry Section”. Szeged, Hungary, 1997, 72-77

  37. J.L.Murray and A.J.McAlister: The Al-Si (Aluminum-Silicon) System, Bulletin of Alloy Phase Diagrams Vol.5 No. 1 (1984)

  38. C.E.Birchenall and E.F.Riechmann, Metall. Trans., 11A (1980) 1415-1420