Györgyi Géza
Központi Fizikai Kutató Intézet


![]()
![]()
![]()
![]()
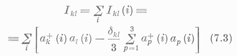
alkalmas 3 X 3-as hermitikus mátrix ![]()
![]()
hermitikus mátrixot meghatározó független paraméterek számát lecsökkenti
kilencről nyolcra. Fölösleges tehát (6.7)-ben a 9 lineárisan független ![]()
= 0 feltételt felhasználva kapjuk: ![]()
![]()
![]()
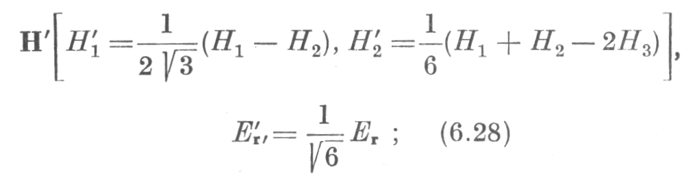
H1 + H2 + H3 = 0. (6.13)
A (6.12) csererelációk ekkor így írhatók:
![]()
e1 (1, 0, 0), e2 (0, 1, 0), e3 (0, 0, 1); (6.16)
*
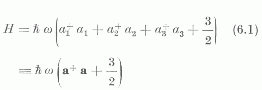
A térbeli izotróp harmonikus oszcillátor energiasajátállapotainak teljes ortonormált rendszere felírható a
(6.17)
alakban; itt
az alapállapot, amelyre
(k = 1, 2, 3). A (6.2) felcserélési összefüggések segítségével nyerhetők az

közvetlenül (6.17), alapján pedig az

relációk. A (6.1), (6.18-19) képletekből következik:

itt ni (i = 1, 2, 3) az oszcillátor i indexű szabadsági fokához tartozó
kvantumok száma.
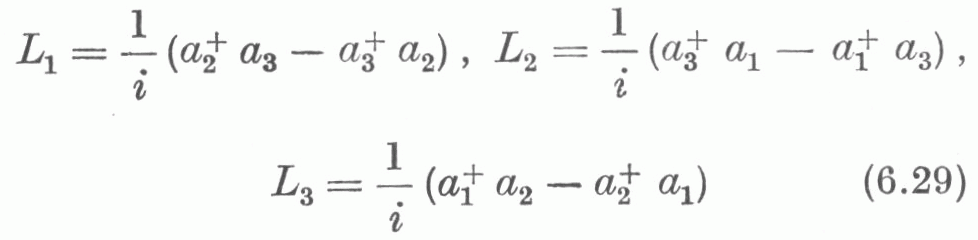
Hasonlóan a síkbeli izotróp harmonikus oszcillátor esetéhez, rámutathatnánk arra, hogy a Hamilton-operátornak az SU(3) kanonikus transzformációkkal szemben mutatott invarianciájából következik: valamely energiasajátállapotra a (6.10)-zel adott T operátort alkalmazva, azonos energiasajátértékhez tartozó sajátállapotot nyerünk. Vázolhatnánk most is, mily mértékű az analógia H invarianciájának a klasszikus és a kvantummechanikában adódó következményei között. Rámutathatnánk újból a kvantummechanikában jelentkező merőben új vonásra, ti. arra, hogy ott egy-egy energiaszinthez H invarianciacsoportjának meghatározott ábrázolása tartozik. Nem volna nehéz végül meghatározni - analógiában az SU(2) esetével [vö. (5.32), ill. (5.39)] - az SU(3) csoport azon ábrázolásainak mátrixait sem, amelyek a térbeli izotróp harmonikus oszcillátor energiaszintjeihez tartoznak. E kérdések tárgyalását mellőzzük azonban, s az SU(3) generátorok hatásának megadására szorítkozunk.
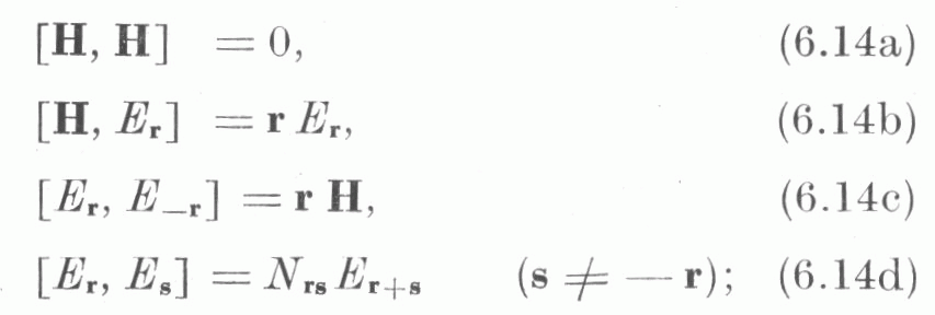
A (6.9), (6.3), (6.18-19) képletek alapján írhatjuk:

itt i, j, k az 1, 2, 3 számhármast jelöli tetszőleges sorrendben.
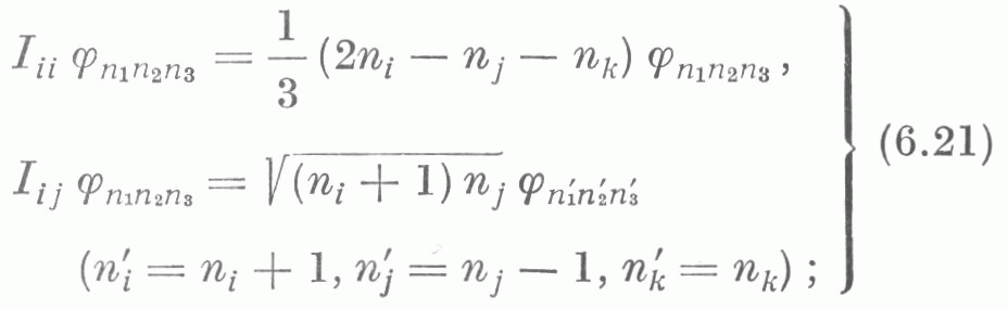
"Szemléletesebb" képleteket nyerhetünk a generátorok (6.14)-ben használt H, Er jelölését alkalmazva. A Hi =Iii
generátoroknak, mint (6.21) mutatja,
sajátfüggvénye. A
megfelelő sajátértékeket mi-vel jelöljük. .Foglaljuk össze ezeket egy m (m1, m2, m3)
"vektorrá"; m-re a súly elnevezés használatos. A
-hoz
tartozó súlyvektor komponensei:

ezek nem függetlenek, közöttük fennáll:
![]()
Így ha m-et a sajátállapotok indexelésére kívánjuk használni, további jellemzőre van szükség.
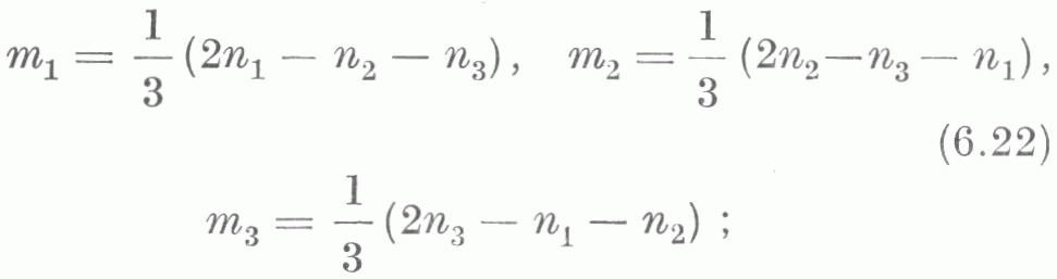
Mondjuk azt - önkényesen -, hogy az m súly az m' súlynál nagyobb, ha az m-m' vektor első el nem tűnő komponense pozitív. A legnagyobb súlyt adott nl + n2 + n3 mellett jelölje j. Ennek komponenseire (6.22) alapján kapjuk:
![]()
A sajátállapotok jellemzésére j és m (egy, ill. két független komponens) együtt elegendő; ennek alapján a
jelölést is fogjuk alkalmazni.
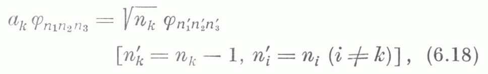
Legyen

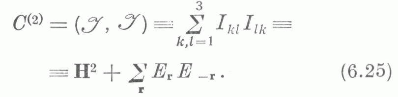
Ez az ún. Casimir-operátor; C(2) valamennyi SU(3) generátorral kommutál.
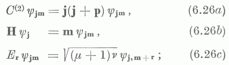
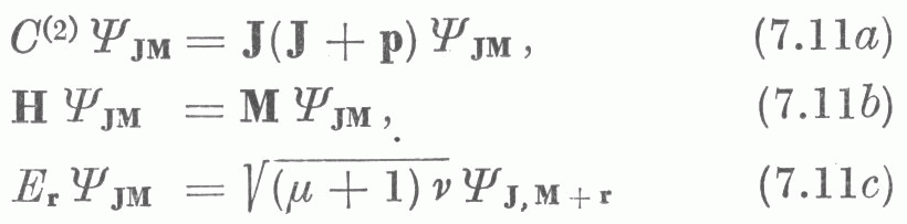
Az Er, H generátorok és a C(2) Casimir-operátor hatása a
sajátállapotokra eként adható meg:

itt p a k < l tulajdonságú, ún. pozitív r = ek - el gyökök összege; a
, v egész számokat a következő feltétel rögzíti: m -
r súly, de m -
(
+ 1)r nem az, és m + vr súly, de m + (v + 1)r nem az. A (6.26 b-c) képletek ugyanazt mondják, mint (6.21), más jelölésben; (6.26a) igazolása (6.26b-c), (6.14c) felhasználásával, a Casimir-operátor és a generátorok felcserélhetőségét figyelembe véve történhet. Az analógia (6.26) és az SU(2) generátorokra nyert (5.35) képletek között nyilvánvaló.
A (6.21) vagy (6.26) képletekről az SU(3) csoport említett, a térbeli izotróp harmonikus
oszcillátor egyes energiaszintjeihez tartozó ábrázolásainak infinitezimális mátrixai leolvashatók. Ez utóbbiak Lie szerint meghatározzák az
ábrázolásokat. Kiemeljük, hogy ezek mind irreducibilis ábrázolások; valamely
állapotból alkalmas Er generátorok kellő számú alkalmazásával az adott szinthez tartozó bármely
megkapható.
Egy-egy irreducibilis ábrázoláshoz - ha tetszik: szinthez - tartozó m súlyokat [melyek (6.23) szerint egy síkban fekszenek] felrajzolva adódnak a
súlyábrák. Példaként az n1 + n2 + n3 = 0, 1, 2, 3 esetekre
közöljük a súlydiagrammokat (1-4. ábra; a súlyvektorok végpontjához odaírtuk az ml, m2, m3 komponenseket;
a nullvektort kis kör jelzi). A súlyábrák teszik a (6.26) képleteket igazán szemléletessé. A H operátor-"vektornak" mindegyik
sajátállapota; a sajátérték a súlyábra megfelelő vektora. Az Er operátor j-t szintén változatlanul hagyja, m-et azonban m + r-re
változtatja, vagyis: az r gyökkel megadott irányú és nagyságú "lépést tesz" a súlyábrán (és még
-vel
szoroz, minek folytán ha m + r nem súly, zérust kapunk). Ily módon az Er-ek segítségével "bebarangolhatjuk" a súlyábrát (ez mutatja az irreducibilitást).
A legnagyobb súly - megfelelően önkényes megállapodásunknak - a szabályos háromszög alakú súlyábra alsó bal szögpontjába mutató vektor. Ez egyértelműen jellemzi a súlyábrát és vele
együtt az SU(3) megfelelő irreducibilis ábrázolását, továbbá (6.26a) szerint a C(2) Casimir-operátor sajátértékét. Egy-egy súlyábrához
(adott j-vel jellemzett irreducibilis ábrázoláshoz) tartozó
állapotok sorozatára a multiplett elnevezés használatos.
![]() |
![]() |
![]() |
![]() |
Adott külső mágneses tér pl. egy atomi elektron j impulzusmomentumú energiaszintjét tudvalevőleg a
mágneses kvantumszám m = j, j - 1 ,....-j értékeivel jellemzett (a1) szintekre hasítja fel. Az előálló Zeeman-multiplett egy-egy ilyen
alszintjének (komponensének) egy-egy
felel meg; másrészről e
-ekhez
(lásd 5. szakasz) a forgás- ill. SU(2) csoport egy-egy irreducibilis ábrázolása tartozik. Ezen és több más példa (finom- és hiperfinomszerkezet-multiplettek, töltésmultiplettek, nagyobb csoportokkal
kapcsolatos mag- és részecske- "szuper"-multiplettek) alapján az empirikus eredetű multiplett szó a csoportelmélet irreducibilis ábrázolás
terminuszával a fizikus számára csaknem szinonímává vált.
A multiplettet képező
-ek száma - az irr. ábr. dimenziója (jele d) - a multiplicitás, melyet a j
legnagyobb súllyal a Weyl-féle dimenzióképlet eként fejez ki:

ahol
![]()
itt a produktumot a pozitív gyökök
+ rendszerére kell kiterjesztenünk, p pedig -
mint fent - a pozitív gyökök összegét jelöli. A (6.27) képletet verifikálhatjuk pl. az 1-4. ábrák multiplettjeire; rendre a d = 1, 3, 6, 10 multiplicitásokat nyerjük.
*
Megemlítjük az SU(3) generátorok néhány szokásos, a fent alapul vett H, Er választástól eltérő definícióját. Legyen

ekkor a
operátor-vektort, a gyököket és a súlyokat két
független komponens jellemzi, a gyökökre
teljesül. - Egy másik használatos
definíció, melynek nyilvánvalóan (5.14) a modellje: ![]()
a Pauli-mátrixokkal analóg, 3 X 3-as hermitikus mátrixok, melyeket Gell-Mann vezetett be (ezeket helykímélés céljából nem írjuk fel).
- Elliott választása helyet ad a generátorok között az
pályamomentum

komponenseinek; ezekhez járul az öt

generátor, melyeket tömörebben így is felírhatunk:

(
a helyvektor,
pedig az impulzus vektorának polárszögei).
7. A magok forgási állapotainak mikroszkópikus leírásáról (az Elliott-modell)
A térbeli izotróp harmonikus oszcillátor gyakran szolgál a problémák tárgyalásának kiindulópontjául az elméleti magfizikában. Nulladik
közelítésben megfelelő lehet a feltevés, mely szerint az atommag nukleonjai a magcentrumtól mért távolsággal arányos visszatéritő erő hatása alatt végzik mozgásukat.
Az A tömegszámú magot jellemző H Hamilton-operátor ebben a közelítésben az A számú nukleon (6.1) mintára felírt H(1), . .... , H(A) Hamilton-operátorainak összege. Ez a H Hamilton-operátor - hasonlóan az egyes H(i)-khez - invariáns az SU(3) csoporttal szemben; így H sajátállapotai is SU(3) multiplettekbe osztályozhatók. -
A fenti "független-részecske oszcillátor-modell" persze túlzott egyszerűsítést jelent. A valóság jobb megközelítése a nukleonok között ható kéttest-erők
potenciáljának bevezetésével érhető el. A
potenciálfüggvény alakjára s a fellépő paraméterek értékére
tett "észszerű" feltevések mellett elvégzett numerikus számítások ténylegesen jó eredményeket adtak az 1p nukleonhéj feltöltésével kiépülő magok
(4 < A
16) spektrumára, valamint az 1d-2s héj kezdetén (A = 19-ig); ennél nehezebb magokra az ilyen számítások nehézségei legyőzhetetlenekké válnak.
|
|
|
Figyelmet érdemel itt egyes magok esetében a forgási állapotok fellépte. Ezek forgási sávokba sorolhatók; egy-egy sávon belül a gerjesztési energia (legtöbbször) a magspin-operátor négyzetének I (I + 1) sajátértékével arányos. Forgási sávokat korábban nagy számban észleltek nehéz magok spektrumában. Az egészen könnyű magok között régóta ismert példa a Be8 mag sávja (5. ábra). Az ötvenes évek derekától kezdődően további könnyű magokban azonosítottak forgási sávokat (pl. F19, Ne20, Mg24 stb.; lásd 6. ábra). A forgási állapotok egyrészről leírhatók a Bohr-Mottelson-féle fenomenológikus modellel, mely feltételezi a deformált "magtörzs" létét s ehhez esetleg egy-két külső nukleont csatol, másrészről felmerülhet természetesen az igény a mikroszkópikus leírásra, mely a magot mint A számú, kölcsönhatásban álló nukleon rendszerét fogja fel. Különösen természetes a mikroszkópikus leírás igénye a könnyű magok forgási állapotai esetében; hisz' Be8, F19 benne fekszik a magoknak abban a tartományában, ahol az oszcillátor-modell alapján, kétnukleon-erők bevezetésével elvégzett számítások jó eredményeket adtak a spektrumokra, s a többi ilyen mag (Ne20, Mg24 stb.) is e tartomány szomszédságában található. Az F19 mag esetében ténylegesen bebizonyosodott, hogy a kétféle leírás - a fenomenológikus és mikroszkópikus - egymással és a tapasztalattal összhangban álló eredményekre vezet. Várhatóan másutt is fennáll az összhang, az ennél nehezebb magokra azonban az ilyen összehasonlításnak útját állják a mikroszkópikus leírással járó legyőzhetetlen számítási nehézségek (a kétnukleon-kölcsönhatás diagonalizálandó energiamátrixa nagyságrendben 100 x 100-as és annál nagyobb is lehet). Természetes gondolat, hogy az oly egyszerű képet mutató forgási spektrumok mikroszkópikus értelmezéséhez ennél egyszerűbb úton is el kell tudnunk jutni.
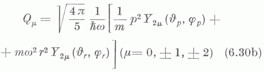
A térbeli izotróp harmonikus oszcillátor és az SU(3) csoport kapcsolatát felhasználva Elliott adott meg olyan - egyszerű, nagymértékben idealizált - mikroszkópikus magmodellt, amely forgási sávok felléptére vezet. Az Elliott-modell Hamilton-operátora:

itt H a független részecske oszcillátor-modell Hamilton-operátora, mely az egyes nukleonok (6.1) alakú Hamilton-operátorainak összege,
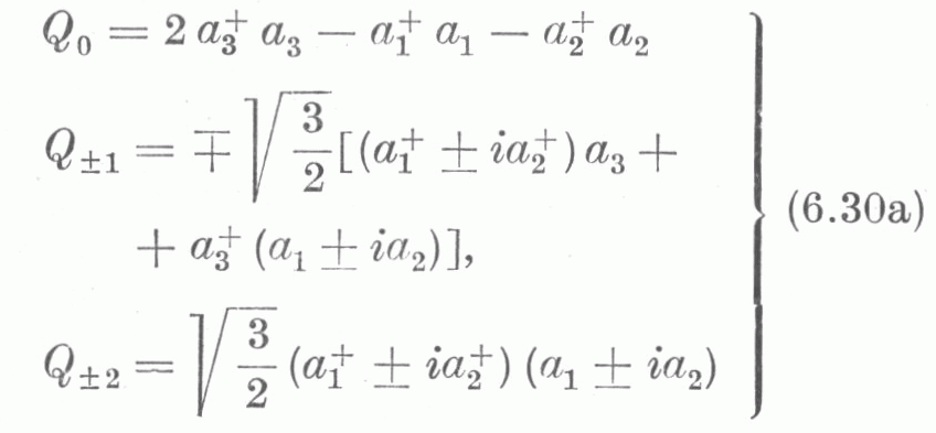
pedig az egyes nukleonoknak megfelelő, a (6.30) mintára képezett SU(3) generátorok összegét jelöli:
![]()
A (7.1) részletes kiírásakor előálló
![]()
alakú tagok kölcsönhatást eredményeznek az i-edik és a j-edik nukleon között. Ez az ún. kvadrupól-kölcsönhatás nyilvánvalóan mesterkélt, nem tükrözi híven a valóságos nukleon-nukleon erők minden lényeges tulajdonságát, mindazonáltal mutat bizonyos "realisztikus" vonásokat. Így ha pl. az i-edik nukleon mozgását a z-tengely mentén végzi, úgy a j-edik nukleonnak - mint az (6.30), (7.1-2) alapján megállapítható - energetikailag előnyös mozgását ugyancsak a z-tengely mentén kell végeznie. A nukleonok mozgásában a kvadrupól-kölcsönhatástól előidézett korreláció eszerint a mag (kvadrupól-jellegű, ellipszoidális) deformációját eredményezi, amit éppen a forgási spektrummal rendelkező magoknál meg is lehet figyelni.
A független-részecske oszcillátor-modell H Hamilton-operátora - mint már említettük - természetesen SU(3) invariáns; HE azonban nem az, a kvadrupól-kölcsönhatás ugyanis "sérti" az invarianciát. Az SU(3) csoport mégis segítségünkre van: HE ugyanis kifejezhető SU(3) generátorokkal és sajátértékfeladata ezen az úton könnyűszerrel megoldható.
Az SU(3) transzformációk, melyek minden egyes nukleon a (i) operátor-vektorát (i = 1, 2 ,...., A) egyöntetűen (6.5), (6.8) szerint transzformálják, generálhatók pl. az egyes nukleonokra (6.9), (6.3) alapján felirt Ikl(i)-ket összegezve adódó

generátorokkal; de ugyancsak használhatjuk generátorként az
eredő pályamomentum 3 komponensét s a (7.2)-vel megadott 5
operátort. A Casimir-operátor [vö. (6.25)] a generátorok mindkét fajtájával egyszerű alakban kifejezhető:

Mint látjuk, a kvadrupól-kölcsönhatás kifejezhető a C(2), L2 operátorokkal; írjuk (7.1) helyett:

A független-részecske oszcillátor-modell H Hamilton-operátornak E0sajátértékeit az egyes nukleonok
oszcillátor-energiáinak összege adja:
. Minthogy a H operátor SU(3) invariáns, sajátállapotait - a korábban mondottak szerint - oly módon választhatjuk, hogy azok SU(3) multipletteket alkossanak. Egy-egy ilyen multiplett komponensei a C(2) Casimir-operátornak sajátállapotai; ha a multiplettet egyértelműen jellemző legnagyobb súlyt J jelöli, úgy C(2) sajátértéke J(J + p) [vö. (6.26); p az SU(3) pozitív gyökeinek összege]. Ha végül képezzük az SU(3) multiplett-komponensek azon lineráis kombinációit, amelyek L2-nek is sajátállapotai, a (7.5) Hamilton-operátor sajátérték-feladatának megoldását nyerjük.
Megjegyzendő, hogy a J legnagyobb súly helyett, melynek komponensei nem mind függetlenek, az SU(3) multiplettek jellemzésére J komponenseinek
kombinációi is használatosak; C(2) sajátértéke ezekkel a
3
alakban fejezhető ki.
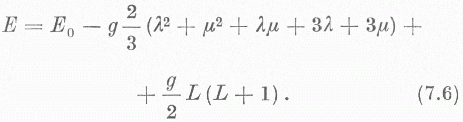
Az Elliott-modell HE Hamilton-operátorának E sajátértékét a H operátor E0 sajátértékének, a Casimir-operátor sajátértékének, valamint az L2 operátor L (L + 1) sajátértékének kombinációja alakjában nyerjük:

Adott E0 és
mellett az E energiasajátérték az L impulzusmomentum-kvantumszámtól a forgás spektrumokra jellemző függést mutatja.
*
Milyen SU(3) multiplettek, s ezeken belül milyen forgási sávok lépnek fel valamely adott magban? Az általános válasz hosszadalmas ábrázoláselméleti megfontolásokat igényel; itt csupán néhány egyszerű példát veszünk szemügyre.
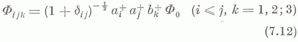
Az első, legegyszerűbb példa: két részecske az n = 1 oszcillátor-kvantumszámú szinten. A kétrészecske-rendszer ilyen állapotai a
![]()
alakban írhatók fel;
a rendszer alapállapota
(mindkét részecske az n = 0 szinten),
az egyik,
a másik részecskéhez tartozik. Képezzük a (7.7) állapotok

kombinációit; a hat szimmetrikus
s a három antiszimmetrikus
ugyanúgy teljes ortonormált rendszert képez, mint
a kilenc
állapot.
Az SU(3) generátorok a kétrészecske-rendszer esetében (7.3) szerint:
![]()
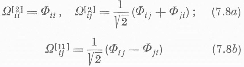
Most is célszerű a Hk = Ikk, Er = Ikl (k kepl6793_3.gif l; r = ek - ei) jelölés használata. A H (Hl, H2, H3) operátor-vektor alkalmazásával megállapíthatjuk, hogy a (7.8) állapotok valamennyien meghatározott M súlyhoz tartoznak. Az Er operátort valamely M súlyhoz tartozó állapotra alkalmazva az M + r súlyhoz tartozó állapotot nyerünk, egy faktorral szorozva (ill. zérust, ha M + r nem súly); a [2], ill. [11] felső index eközben érintetlen marad. A (7.8a) állapotok esetében a 3. ábrán közölt hat súlyvektor adódik; a (7.8b) alatt felírt három állapothoz tartozó súlyokat a 7. ábra mutatja.

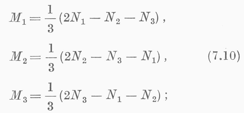
Ha az állapotok indexelésére a súlyokat vezetjük be, a generátorok hatását a (6.26) mintára áttekinthető képletekkel fejezhetjük ki. A (7.8) állapotok alsó indexpárjának szerepét M veszi át, a (7.8a) és (7.8b) állapotok megkülönböztetésére pedig a szögletes zárójelbe foglalt indexcsoport helyett a J legnagyobb súlyt alkalmazzuk. Ha az i, j alsó indexpárban az 1, 2, 3 számok rendre Nl-szer, N2-ször, N3-szor fordulnak elő, úgy a megfelelő M súly komponenesei:

Nk természetesen a k indexű, a és b típusú oszcillátor-kvantumok számának összegét jelenti [vö.
(6.22)]. Ily módon bevezetve a (7.8) állapotokra a
jelölést, a

képleteket nyerjük; itt
, v hasonló jelentésű, mint (6.26)-ban.
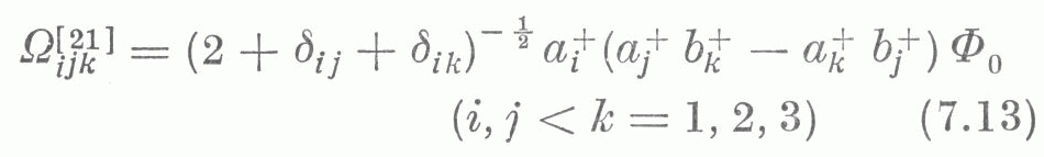
Helyezzünk most egy részecskét az n = 2, egyet az n = 1 oszcillátor-szintre. Ilyen állapotok egy teljes ortonormált rendszere:

(18 állapot). Képezzük ezekből a jk indexpárban antiszimmetrikus kilenc

kombinációt. Ezek valamennyien normáltak, az i = j vagy i = k állapotok egymásra s a többi állapotra is ortogonálisak, az ijk = 123, 213, 312 állapotok azonban egymásra nem ortogonálisak és nem is függetlenek; független és egymásra is ortogonális állapotok azonban pl.

A (7.13) állapotok közül azok, amelyekre i = j vagy i = k, továbbá a (7.14) állapotok együttvéve (számuk összesen 8) ortonormált sorozatot képeznek. Meg lehet győződni arról, hogy itt egy SU(3) multiplettel állunk szemben; a súlydiagramm a 8. ábrán látható. Figyelmet érdemel, hogy a zérustól különböző súlyok megegyeznek a (6.15) gyökvektorokkal. Ezt a multiplettet az SU(3) reguláris multiplettjének nevezzük; a megfelelő irr. ábrázolás neve reguláris ábrázolás. Az SU(3) generátorok hatása most is áttekinthetőbbé tehető az állapotok indexeként az M súlyokat alkalmazva; némi bonyodalmat okoz azonban az az új vonás, hogy van olyan súly (M = 0), amelyhez két lineárisan független állapot tartozik.

Megemlítjük, hogy a most talált nyolckomponensű multiplett (oktett) mellett a (7.12) állapotokból képezhető még egy tízkomponensű SU(3) multiplett (dekuplett; a súlyokat lásd a 4. ábrán) is; ezen oktett és dekuplett együttesen helyettesíteni képes a 18 állapotból álló (7.12) ortonormált rendszert.
*
Röviden utalunk az egyes SU(3) multiplettek jellegzetes szimmetriatulajdonságaira. Így (7.8a) alatt ij-ben szimmetrikus, (7.8b) alatt antiszimmetrikusállapotokat látunk; e szimmetriatulajdonságokat szokás a

ún. Young-ábrákkal szemléltetni. Az egy sorban álló négyzetek szimmetriára, az egy oszlopban állók antiszimmetriára utalnak. A (7.13) állapotok a
![]()
Young-ábrával szemléltethetők; az egy oszlopban
álló két négyzet a jk indexpárban fennálló antiszimmetriára utal. A Young-ábra közlése helyett sokszor az egy-egy sorban álló négyzetek számát adják meg,
szögletes zárójelbe zárva. Így
,
,
helyett rendre [2], [11], [21] írható; ezeket a szimbólumokat alkalmaztuk (7.8), (7.13-14) alatt felső index gyanánt.
Minthogy a szereplő indexek háromértékűek, antiszimmetria legfeljebb három indexben állhat fenn. Az SU(3) multiplettek Young-ábrái így legfeljebb háromsorosak lehetnek; a szögletes zárójeles szimbólum az általános esetben tehát három számból áll: [f1 f2 f3] (a zérussal egyenlő fi-ket nem szoktuk kiírni).
A Young-ábrák e futólagos jellemzésének kiegészítéseképpen közöljük az [f1 f2 f3] szimbólum kapcsolatát az SU(3) multiplettek másfajta jellemzőivel. A legnagyobb súly komponensei a
![]()
a (7.6) alatt használt
pedig a
![]()
kapcsolatban állnak az fi-kel. Az f1 + f2 + f3 összeget J vagy kepl94_4.gif nem határozza meg; az a háromértékű SU(3) indexek száma.
*
A kérdés, hogy adott SU(3) multiplettben milyen forgási sávok, az L impulzusmomentum-kvantumszám mely értékei lépnek fel, még válaszra vár. Újra csak példákra szorítkozunk. A (7.7-8) példában L a két részecske l = 1 momentumainak eredőjeként adódik: L = 0, 1, 2. A Wigner-féle impulzusmomentum-összeadási együtthatók szimmetriatulajdonságai azt mutatják, hogy ezek közül L = 0, 2 a [2] multipletthez, L = 1 pedig [11]-hez tartozik. A (7.13) példa [21] oktettje esetében az L = 1, 2, a (7.12)-ből képezhető dekuplettben (szimbóluma [3]) pedig az L = 1, 3 értékek lépnek fel.
*
A fenti példák mintája szerint elemezve a Be8 mag n = 1 oszcillátor-szinten helyetfoglaló 4 külső nukleonjának állapotait, megállapíthatjuk először is,
hogy a fellépő SU(3) multiplettek [4], [31], [22], és [211]. A megfelelő
értékpárok (7.16)
szerint (40), (21), (02) és (10); ezeket rendre (7.6)-ba helyettesítve azt találjuk, hogy legalacsonyabban a (40) multiplett fekszik, mely a 0, 2, 4 impulzusmomentum-értékeket
egyesíti magában. Az 5. ábra mutatja, hogy az elmélet e következtetése a megfigyeléssel összhangban áll.
A Mg24 mag legmélyebben fekvő SU(3) multiplettjére hasonló módon
= (84) adódik; ez egy 0, 2, 4, ...., egy 2, 3, 4, ...., valamint egy 4, 5, .... forgási sávot foglal magában. A 6. ábrán, mely Mg24 megfigyelt spektrumát 6 Mev-ig mutatja, az előbbi két sáv jól felismerhető; a harmadik valószínűleg igen magasan, 15 Mev táján fekszik. Tanulságos végül egybevetni Mg24 és Ne20 spektrumát.
Az utóbbi legmélyebb SU(3) multiplettjére (80) adódik a 0, 2, 4, 6, 8 impulzusmomentum-tartalommal. Ezt a sávot, mely Mg24 alapállapoti sávjával analóg, megfigyelték; míg azonban Mg24 spektrumában fellép egy alacsonyan fekvő 2, 3, 4,.... sáv is, Ne20 esetében ilyen nem észlelhető, összhangban a modellel.
8. A hadronok osztályozása Gell-Mann és Ne'eman szerint (a nyolcas út)
Az erős kölcsönhatásokban jelentkező különféle részecskeállapotoknak, barionoknak és mezonoknak, vagy közös nevükön hadronoknak ma
már se szeri, se száma. Példaképpen a két legismertebb barion-családot ragadjuk ki (9. és 10. ábra). a 9. ábrán bemutatott nyolctagú barion-család, a barionoktett a nukleonok
[a proton (P) és a neutron (N)] mellett a
, a három
és a két
hiperont foglalja magában. Az utóbbiak viszonylag hosszú (~ 10-10 s)
élettartamú barionok, melyeket az ötvenes években fedeztek fel. A 10. ábrán látható családnak jóideig csak kilenc tagja volt ismert. A
részecskeállapotokat a pion-nukleon szórás vizsgálata során Fermi fedezte fel (1952), a
,
állapotokat a hatvanas évek kezdetén ismertük meg. Ezek élettartama igen rövid (~10-23s) és azok rezonanciaként észlelhetők. A részecskecsaládok egyes tagjaira jellemző Q töltésük; ezen kívül azonban szükséges legalább még egy jellemző. Az Y hipertöltés nemcsak az egyes szinteket különbözteti meg a 9. és a 10. ábrán, de a rá vonatkozó kiválasztási szabályok jellemzik a különféle átalakulások valószínűségét is.
|
|
|
Gell-Mann és Ne'eman felismerése szerint ezen részecskecsaládok megfeleltethetők bizonyos
SU(3) multipletteknek. Az SU(3) súlydiagrammokon az egy-egy vízszintes egyenes mentén elhelyezkedő multiplett-komponenseket az m súlyvektor harmadik komponensének ugyanazon értéke jellemzi; az egy-egy vízszintes egyenesen elhelyezkedő barionokhoz pedig ugyanazon Y hipertöltés tartozik. A megfeleltetés első lépéseként a súly m3 komponense az Y hipertöltés -1-szeresével azonosítható. A 9. ábra barion-oktettjét a 8. ábra SU(3) oktettjével egybevetve azt látjuk, hogy m első komponense az egyes barionok töltését adja meg: Q = ml; hasonló megállapítást tehetünk a 10. ábra részecskecsaládját a 4. ábra súlydiagrammjával összevetve;
a T3 kvantumszám az m súlyból pl. az
alakban nyerhető.
Az SU(3) csoport szerepének felismerése a részecskefizikában a hadronok csoportelméleti osztályozására irányuló sokéves erőfeszítések gyümölcse. A független SU(3) generátorok száma nyolc lévén, Gell-Mann elméletének a nyolcas út nevet adta, utalva a Buddhától kijelölt "nemes nyolcas út"-ra, mely "a fájdalom megszünéséhez vezet".
A részecskecsaládok és az SU(3) multiplettek között létesíthető megfeleltetés első pillantásra talán puszta érdekességnek látszik, különösebb fizikai
következmények nélkül. Valójában a hadronok ezen osztályozása igen gyümölcsözőnek bizonyult. A 10. ábrán látható családnak - mint említettük - kezdetben csak kilenc
tagja volt ismert. Gell-Mann érdeme a felismerés: ha ezekhez egy tizedik, Y = - 2 hipertöltésű, Q = - 1 töltésű részecske csatlakoznék, úgy e családnak a
4. ábra SU(3) multiplettje, a dekuplett volna megfeleltethető. Gell-Mann ezen jóslata ragyogó igazolást nyert: az
részecskét rövidesen sikerült kísérletileg kimutatni (1964).
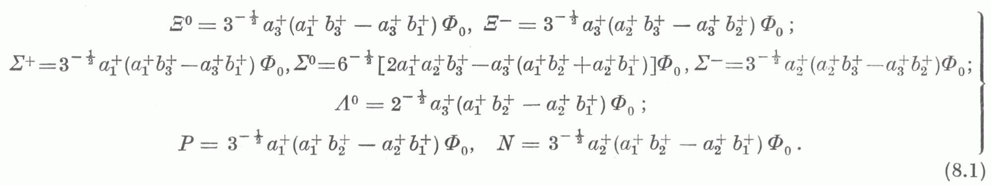
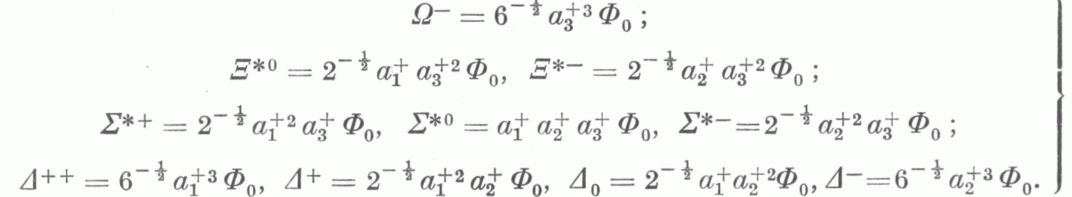
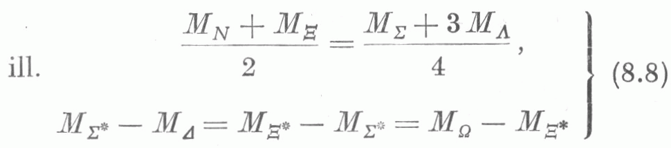
A nyolcas út másik sikere a Gell-Mann és Okubo által nyert tömegformula. Írjuk fel a barionok osztályozásában szerepet kapott SU(3)
multiplettek, az oktett és a dekuplett komponenseit. Az oktettkomponenseket (7.13-14) alatt két operátor-hármas:
és
(i = 1, 2, 3) segítségével sikerült megszerkeszteni. Felhasználva ezt az eredményt, a nyolctagú barion-család és az SU(3) oktett között létesített megfeleltetés részletesen így írható fel:

A dekuplett-komponensek megszerkesztéséhez egy
(i = 1, 2, 3) operátor-hármas is elég; dekuplettet képeznek a térbeli izotróp harmonikus oszcillátor n = 3-hoz tartozó (6.17) energiasajátállapotai. A tíztagú barion-család tagjainak az SU(3) dekuplett komponenseivel való azonosítása részletesen:

(8.2)
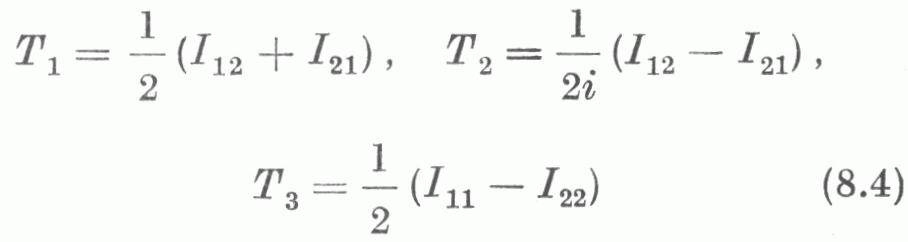
A megfelelő SU(3) generátorok, mint (7.9) alatt is:
![]()
Képezzük ezekből a

kombinációkat. A T (T1,T2,T3) "vektor" az SU(2) generátorok
T x T = i T
felcserélési összefüggéseinek tesz eleget. A
![]()
operátorok a neutront protonba, ill. a protont neutronba, általában a (8.1-2) képletek egy-egy sorában álló töltésmultiplettek szomszédos komponenseit egymásba transzformálja. A T operátor-vektor az izospin operátora. A T2 operátor T (T + 1) sajátértékét meghatározó T izospinkvantumszám segítségével az egyes töltésmultiplettek multiplicitása az ismert 2T + 1 alakban írható fel.
A barionok nyugalmi energiáját képviselő Hamilton-operátor nem SU(3) invariáns, hiszen ha az volna, egy-egy SU(3) multiplett egyenlő nyugalmi energiájú (tömegű) részecskeállapotokat egyesítene magában. Legfeljebb közelítő SU(3) invarianciáról lehet beszélni, arra hivatkozva, hogy a 9. és 10. ábrákon a tömegfelhasadás viszonylag csekély. Feltehetjük, hogy az SU(3) invarianciát megsértő pertubációs operátor - mely a tömegfelhasadást eredményezi, éppúgy mint a mágneses tér a Zeeman-felhasadást - egyszerű szerkezetet mutat. Szem előtt tartva a lineáris
Zeeman-effektust, a
legegyszerűbb feltevés az, hogy ez a perturbációs operátor
-mal arányos. Ekkor azonban az oktettben nem lép
fel a
felhasadás. Tartalmazzon ezért a perturbációs operátor egy a generátorokban kvadratikus tagot is, mellyel azonban a (8.4) izospin-operátor legyen felcserélhető. Ennek alapján választásunk:
![]()
A második tag így is írható: ![]()
A (8.6) operátor sajátértéke adja meg a tömegfelhasadást:
![]()
-vel a Casimir-operátor sajátértékét jelöltük. Ez Gell-Mann és Okubo tömegképlete. Az oktett- és dekuplett-komponensek tömegére a

összefüggést kapjuk. Mindkettő igen jól teljesül. - A (8.7) képletet használta fel Gell-Mann arra, hogy megjósolja az
tömegét, továbbá a
szabálynak megfelelő lassú bomlását.
Látjuk, hogy a Gell-Mann és Ne'eman által megadott osztályozás gyümölcsözően használja fel az SU(3) multipletteket és generátorokat, ugyanakkor azonban az SU(3) csoport és ábrázolásainak mátrixai számára nem juttat semmilyen szerepet. Ez - hasonlóan a másutt látott ilyen esetekhez (pl. izospin) - a töltést, ill. a hipertöltést illető szuperkiválasztási elvvel áll kapcsolatban.
*
Figyelmet érdemel, hogy a "nyolcas út" a hadronok osztályozására kizárólag olyan SU(3) multipletteket használ, amelyek összesen három
, ill.
operátor alkalmazásával képezhetők [lásd (8.1-2)].
Vajon van-e a természetben szerepük más SU(3) multipletteknek is, mindenek előtt a legegyszerűbb nemtriviális - ún. fundamentális multipletteknek (lásd a 2., 7. ábrák
súlydiagrammjait)? Ezt a kérdést először Gell-Mann és Zweig vette fel, rámutatva arra, hogy ezen multipletteknek
elektromos, barion- és hipertöltésű részecskék felelnének meg. Gell-Mann e feltételezett részecskéknek a kvark nevet adta.
Szabad kvarkot mindeddig nem figyeltek meg. Sok esetben igen gyümölcsözőnek bizonyult azonban a feltevés, mely szerint minden hadron kvarkokból épül fel. Eszerint az ismert barionok három kvarkból állanának, a mezonokat pedig kvark-antikvark-pár képezné.
Az
,
operátorokat fent matematikai segédeszközként használtuk fel, de tekinthetnénk azokat kvark-keltő operátornak is; a három
operátor (i = 1, 2, 3) természetesen a kvark térbeli mozgásáról nem, csak elektromos és hipertöltéséről ad számot. Az SU(3) multiplettek hadronfizikai jelentőségének
alapját talán a fundamentális kvark-triplett létezése, az
kvark-operátor indexének
"trichitomiá"-ja képezi.
Megvilágítást igényel a kérdés, eddig azonban elsiklottunk felette: Mit jelent az, hogy míg a (8.2) dekuplett egyedül az
(i = 1, 2, 3) operátorhármas segítségével is felépíthető, a (8.1) oktett megszerkesztéséhez feltétlenül szükséges egy további
(i = 1, 2, 3) hármast bevezetnünk? Ha ezen operátorokat kvark-operátorokként értelmezzük, miben különböznek egymástól az a- és a b-kvarkok? Mindezek a kérdések a hadron-szupermultiplettek elméletéhez vezetnek (10. szakasz).
(Folytatása következik)