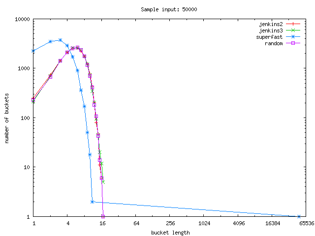
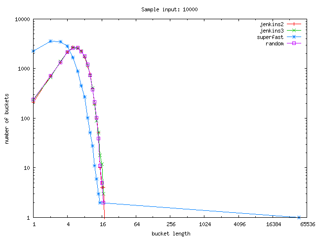
Sample graphs: jenkins2, jenkins3, superfast, hash size 16411

Sample input: hash size 16411, 50000 clients

Sample input: hash size 16411, 10000 clients

Sample input: hash size 16411, 1000 clients