Sample graphs: jenkins2, jenkins3, murmur2, hash size 262147

Sample input: hash size 262147, 50000 clients

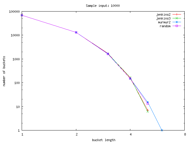
Sample input: hash size 262147, 10000 clients

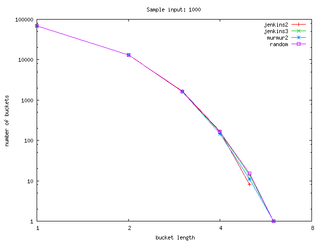
Sample input: hash size 262147, 1000 clients