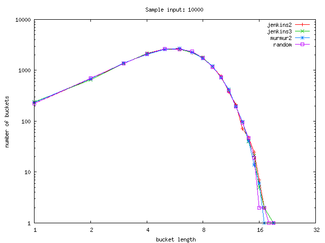
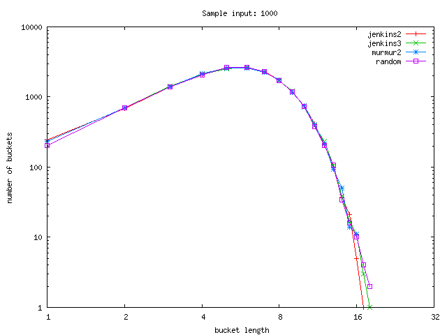
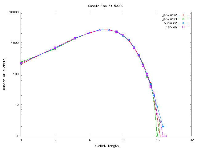
Sample graphs: jenkins2, jenkins3, murmur2, hash size 16383

Sample input: hash size 16383, 50000 clients

Sample input: hash size 16383, 10000 clients

Sample input: hash size 16383, 1000 clients