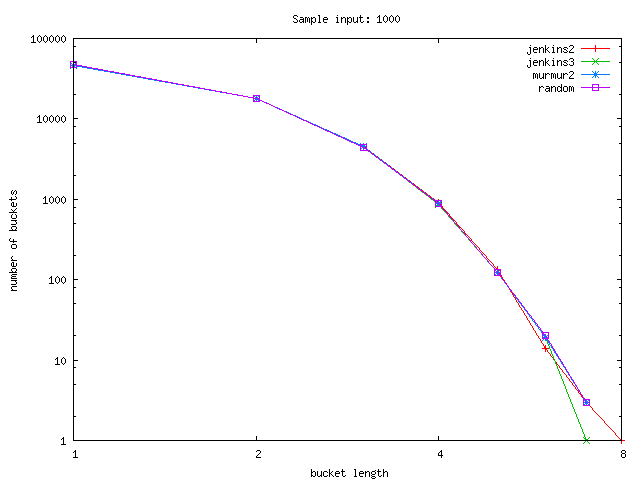
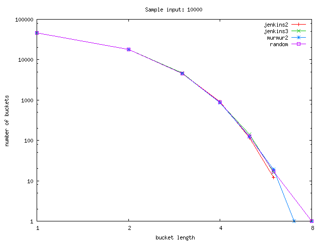
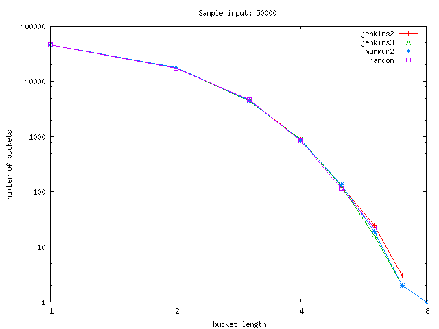
Sample graphs: jenkins2, jenkins3, murmur2, hash size 131071

Sample input: hash size 131071, 50000 clients

Sample input: hash size 131071, 10000 clients

Sample input: hash size 131071, 1000 clients