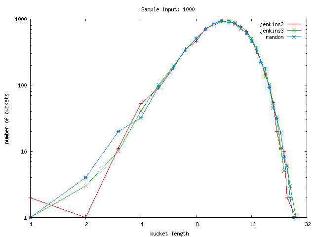
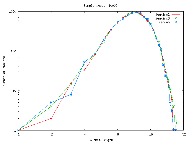
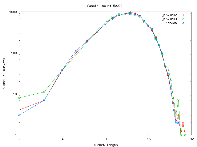
Sample graphs: jenkins2, jenkins3, hash size 8209

Sample input: hash size 8209, 50000 clients

Sample input: hash size 8209, 10000 clients

Sample input: hash size 8209, 1000 clients