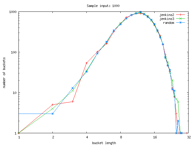
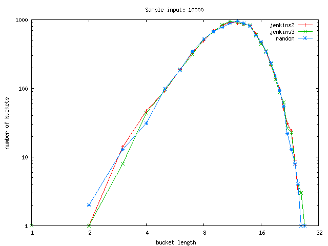
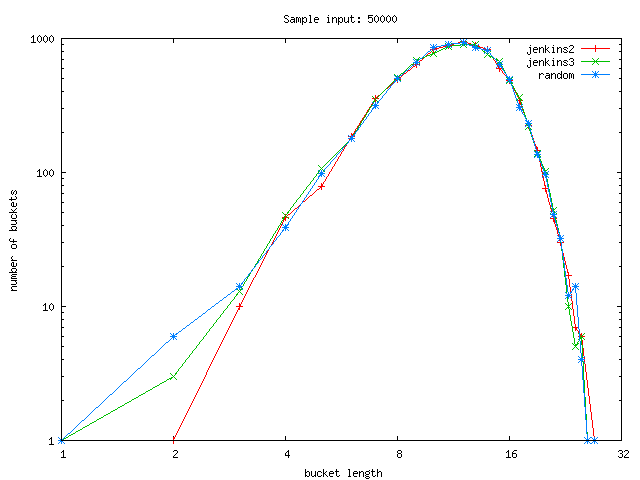
Sample graphs: jenkins2, jenkins3, hash size 8191

Sample input: hash size 8191, 50000 clients

Sample input: hash size 8191, 10000 clients

Sample input: hash size 8191, 1000 clients