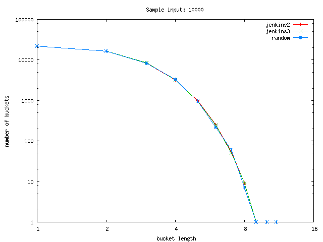
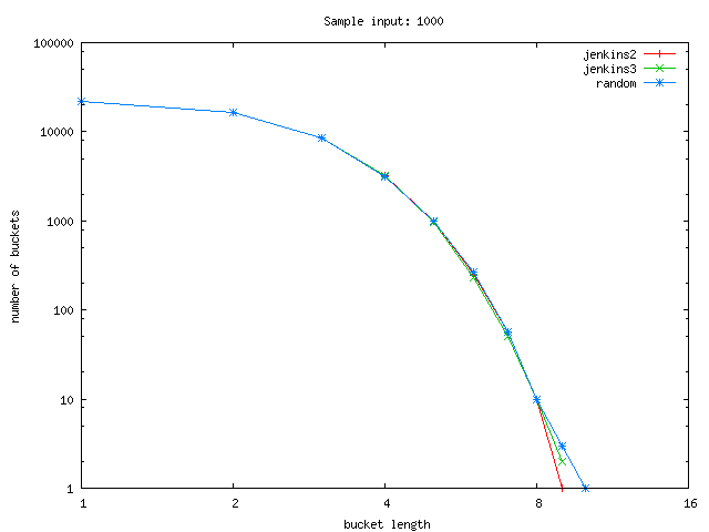
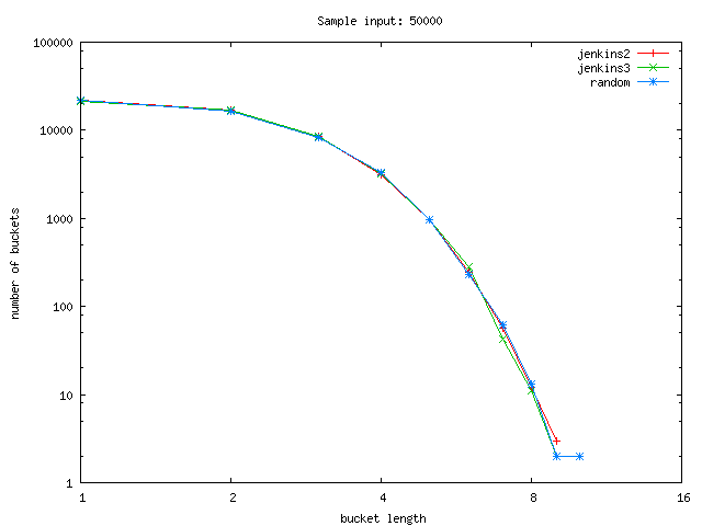
Sample graphs: jenkins2, jenkins3, hash size 65537

Sample input: hash size 65537, 50000 clients

Sample input: hash size 65537, 10000 clients

Sample input: hash size 65537, 1000 clients