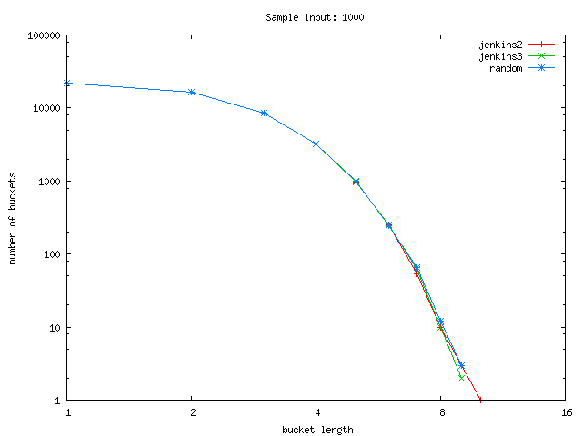
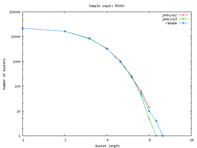
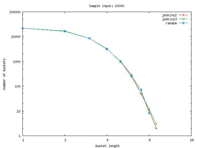
Sample graphs: jenkins2, jenkins3, hash size 65535

Sample input: hash size 65535, 50000 clients

Sample input: hash size 65535, 10000 clients

Sample input: hash size 65535, 1000 clients