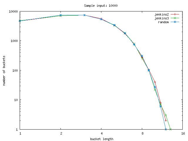
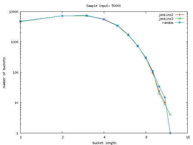
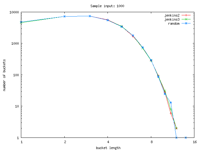
Sample graphs: jenkins2, jenkins3, hash size 32771

Sample input: hash size 32771, 50000 clients

Sample input: hash size 32771, 10000 clients

Sample input: hash size 32771, 1000 clients