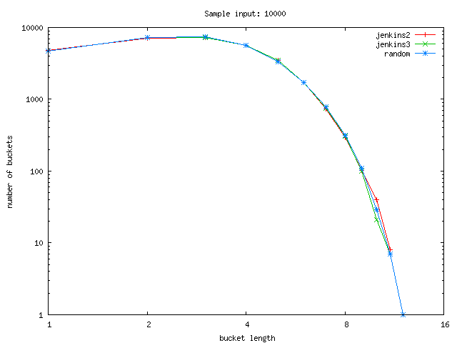
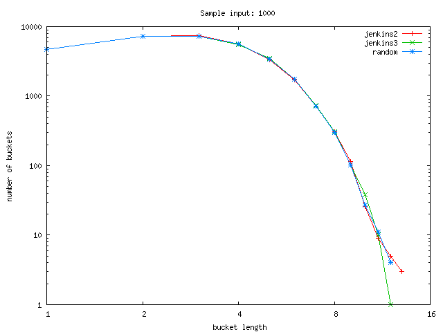
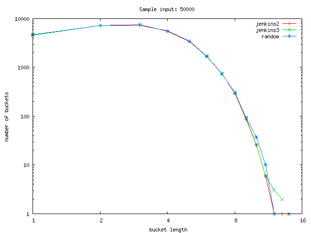
Sample graphs: jenkins2, jenkins3, hash size 32767

Sample input: hash size 32767, 50000 clients

Sample input: hash size 32767, 10000 clients

Sample input: hash size 32767, 1000 clients