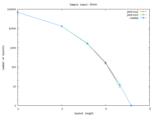
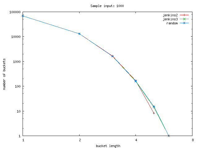
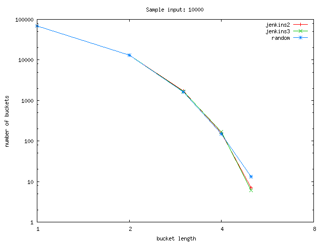
Sample graphs: jenkins2, jenkins3, hash size 262147

Sample input: hash size 262147, 50000 clients

Sample input: hash size 262147, 10000 clients

Sample input: hash size 262147, 1000 clients