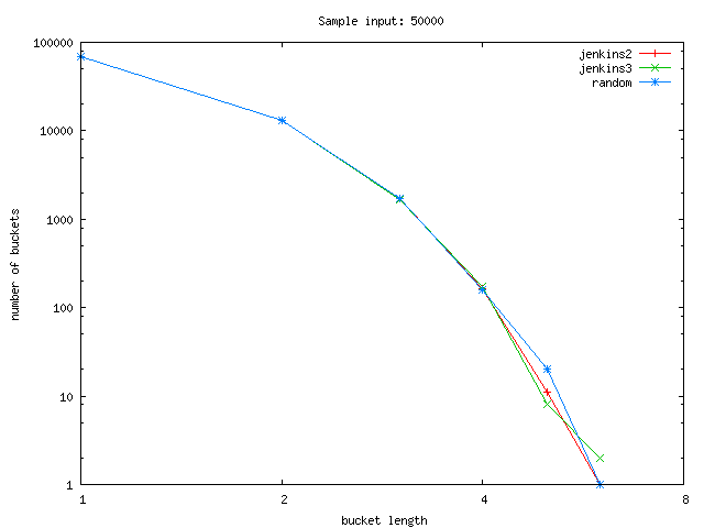
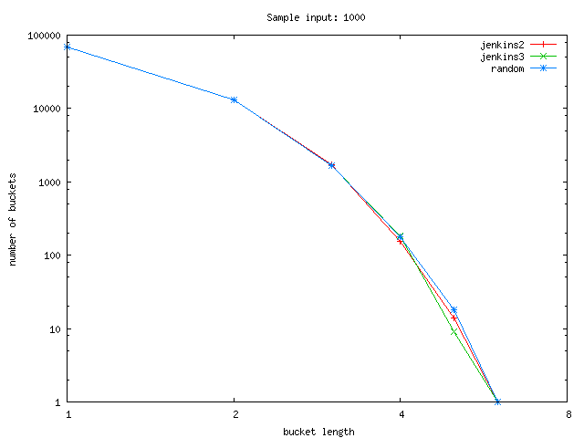
Sample graphs: jenkins2, jenkins3, hash size 262143

Sample input: hash size 262143, 50000 clients

Sample input: hash size 262143, 10000 clients

Sample input: hash size 262143, 1000 clients