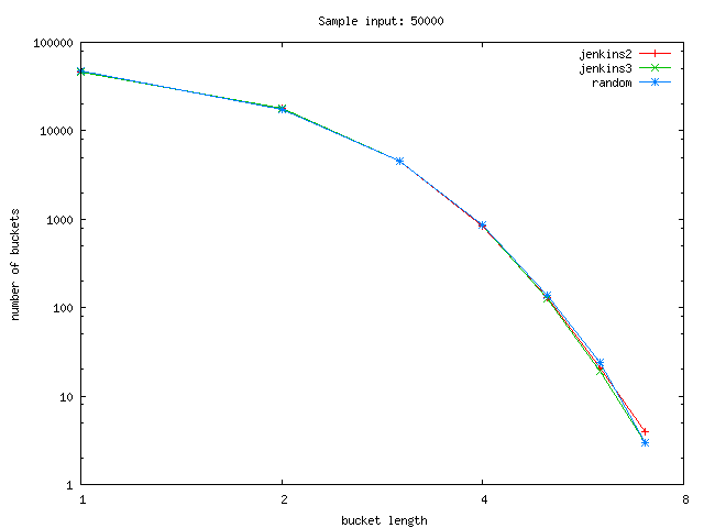
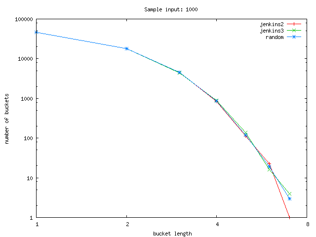
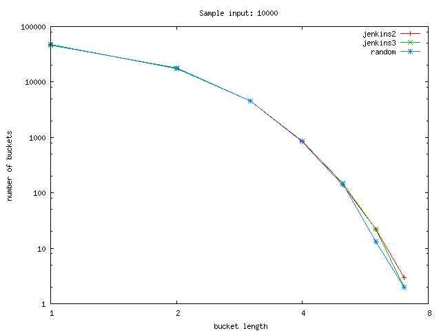
Sample graphs: jenkins2, jenkins3, hash size 131101

Sample input: hash size 131101, 50000 clients

Sample input: hash size 131101, 10000 clients

Sample input: hash size 131101, 1000 clients