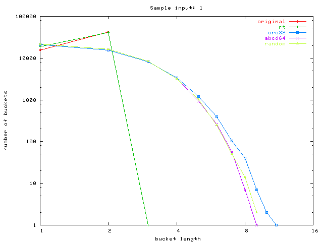
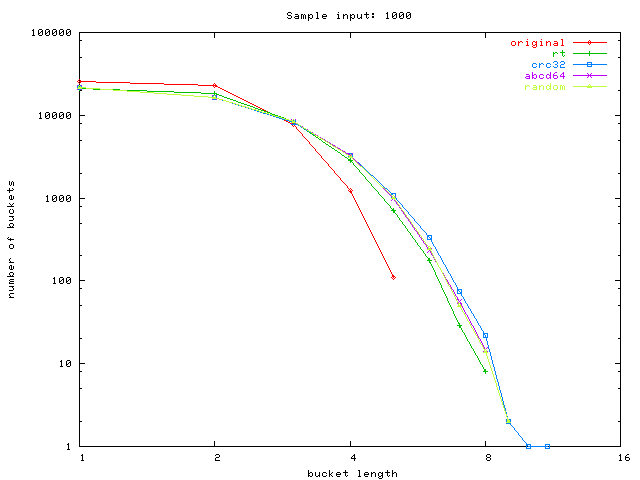
Sample graphs: original, rt, crc32, abcd64, hash size 65535

Sample input: hash size 65535, 50000 clients

Sample input: hash size 65535, 10000 clients

Sample input: hash size 65535, 1000 clients

Sample input: hash size 65535, 100 clients

Sample input: hash size 65535, 1 clients