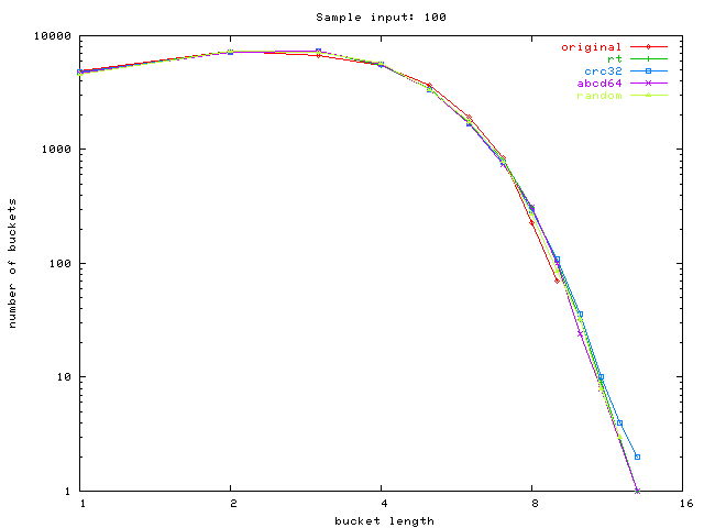
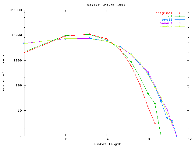
Sample graphs: original, rt, crc32, abcd64, hash size 32767

Sample input: hash size 32767, 50000 clients

Sample input: hash size 32767, 10000 clients

Sample input: hash size 32767, 1000 clients

Sample input: hash size 32767, 100 clients

Sample input: hash size 32767, 1 clients