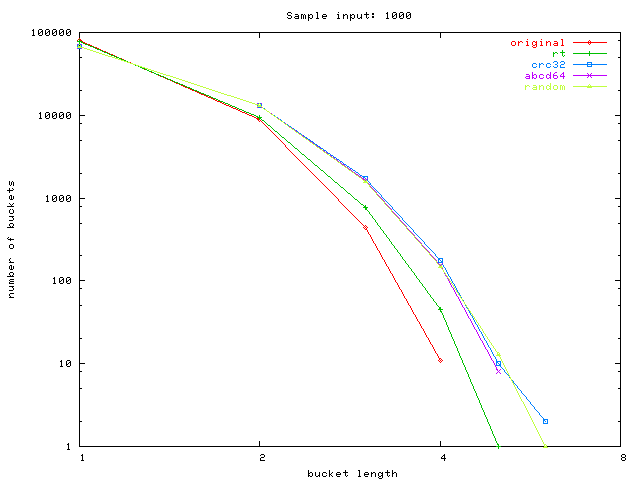
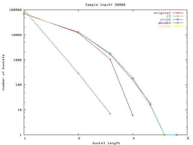
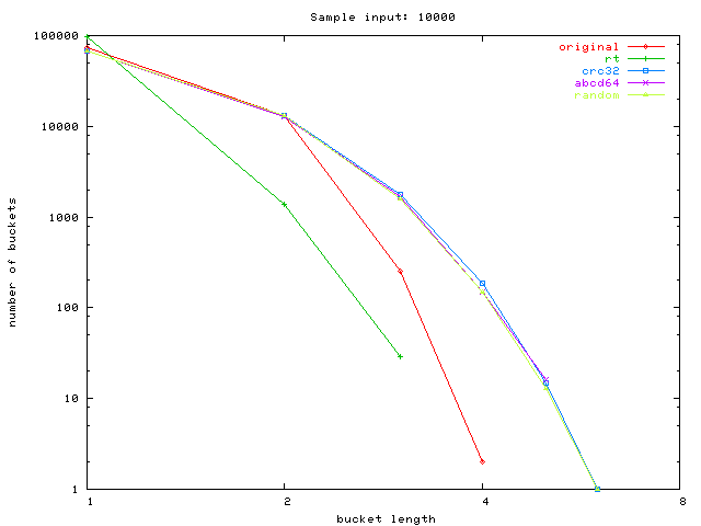
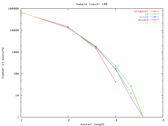
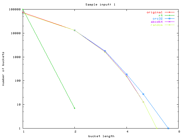
Sample graphs: original, rt, crc32, abcd64, hash size 262143

Sample input: hash size 262143, 50000 clients

Sample input: hash size 262143, 10000 clients

Sample input: hash size 262143, 1000 clients

Sample input: hash size 262143, 100 clients

Sample input: hash size 262143, 1 clients