Sample graphs: original, rt, crc32, abcd64, hash size 16411

Sample input: hash size 16411, 50000 clients

Sample input: hash size 16411, 10000 clients

Sample input: hash size 16411, 1000 clients

Sample input: hash size 16411, 100 clients

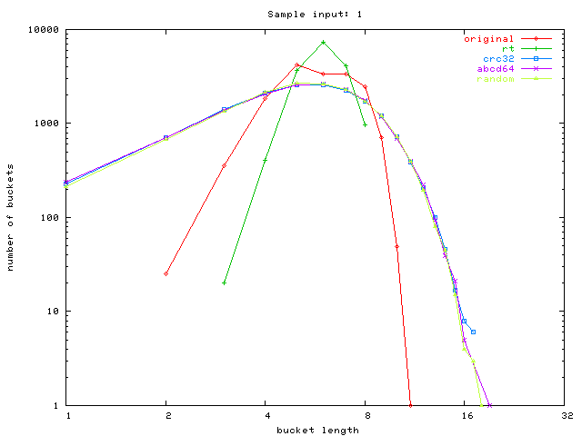
Sample input: hash size 16411, 1 clients