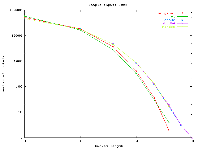
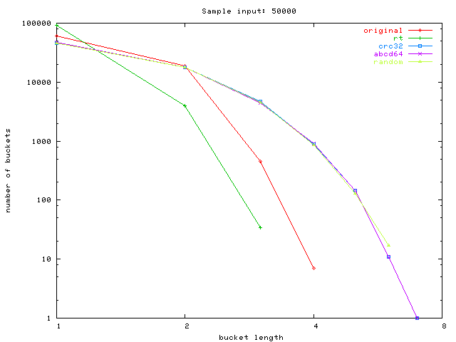
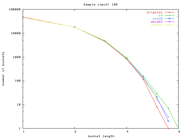
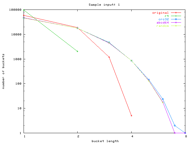
Sample graphs: original, rt, crc32, abcd64, hash size 131101

Sample input: hash size 131101, 50000 clients

Sample input: hash size 131101, 10000 clients

Sample input: hash size 131101, 1000 clients

Sample input: hash size 131101, 100 clients

Sample input: hash size 131101, 1 clients