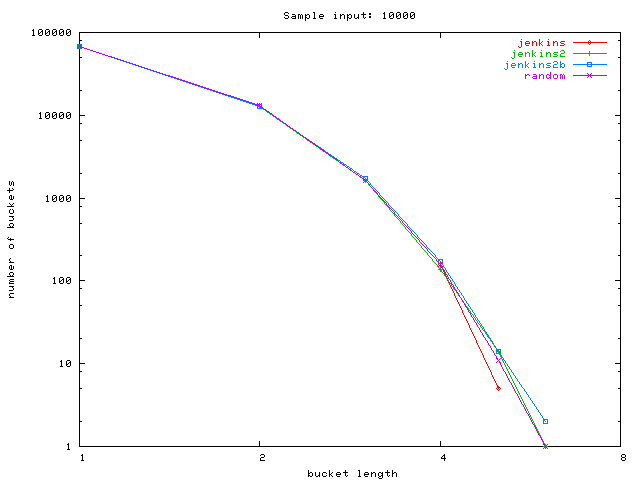
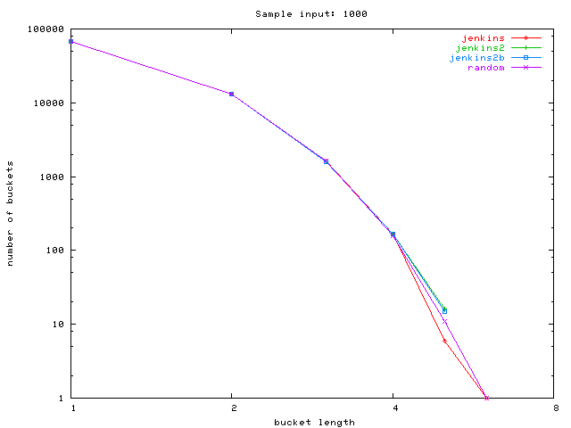
Sample graphs: jenkins, jenkins2, jenkins2b, hash size 262147

Sample input: hash size 262147, 50000 clients

Sample input: hash size 262147, 10000 clients

Sample input: hash size 262147, 1000 clients

Sample input: hash size 262147, 100 clients

Sample input: hash size 262147, 1 clients