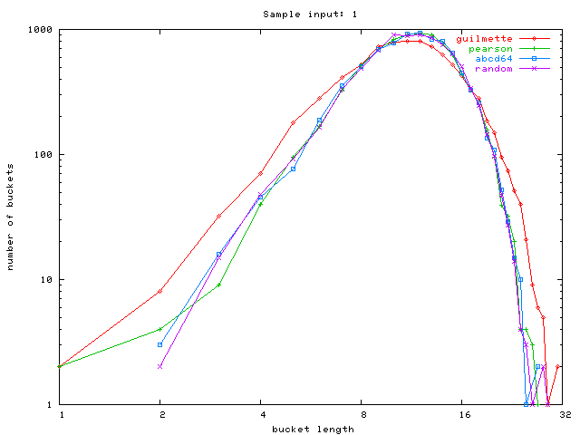
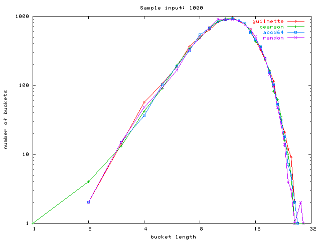
Sample graphs: guilmette, pearson, abcd64, hash size 8191

Sample input: hash size 8191, 50000 clients

Sample input: hash size 8191, 10000 clients

Sample input: hash size 8191, 1000 clients

Sample input: hash size 8191, 100 clients

Sample input: hash size 8191, 1 clients