Sample graphs: guilmette, pearson, abcd64, hash size 65537

Sample input: hash size 65537, 50000 clients

Sample input: hash size 65537, 10000 clients

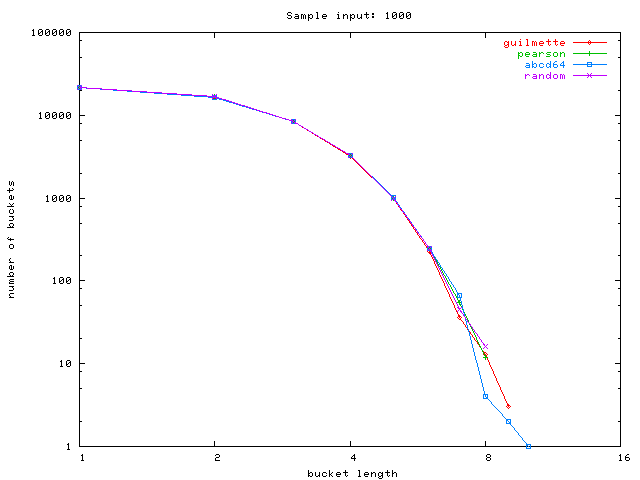
Sample input: hash size 65537, 1000 clients

Sample input: hash size 65537, 100 clients

Sample input: hash size 65537, 1 clients