Sample graphs: guilmette, pearson, abcd64, hash size 262147

Sample input: hash size 262147, 50000 clients

Sample input: hash size 262147, 10000 clients

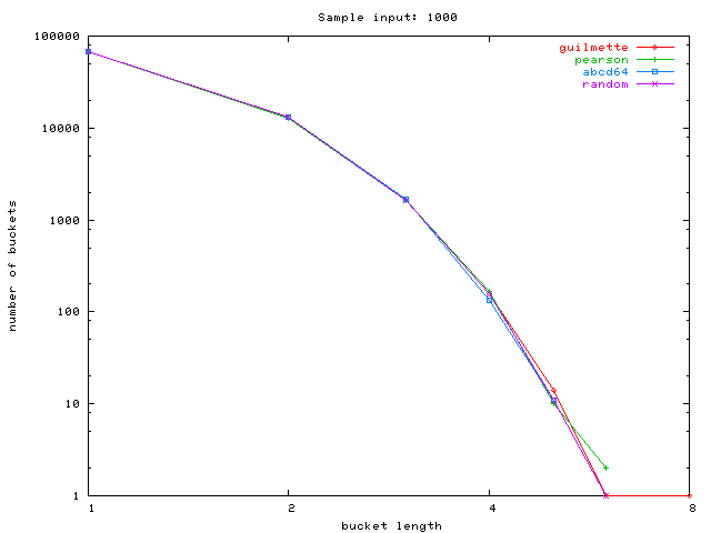
Sample input: hash size 262147, 1000 clients

Sample input: hash size 262147, 100 clients

Sample input: hash size 262147, 1 clients