Sample graphs: guilmette, pearson, abcd64, hash size 262143

Sample input: hash size 262143, 50000 clients

Sample input: hash size 262143, 10000 clients

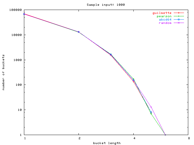
Sample input: hash size 262143, 1000 clients

Sample input: hash size 262143, 100 clients

Sample input: hash size 262143, 1 clients