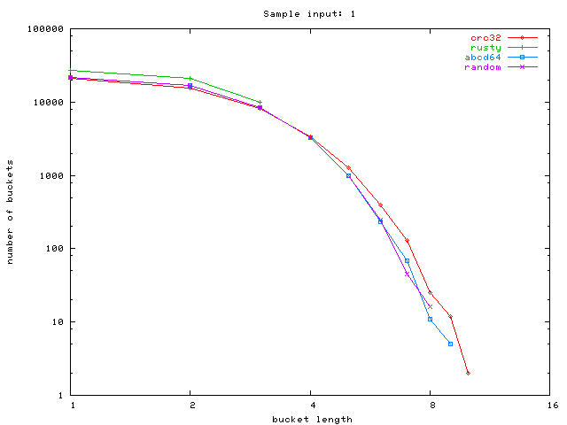
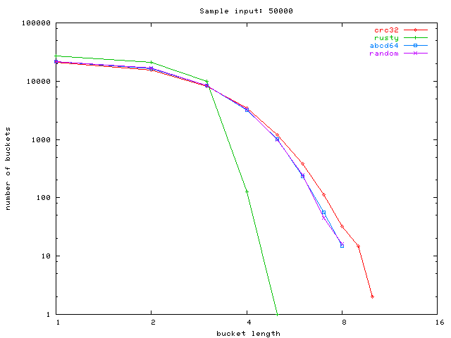
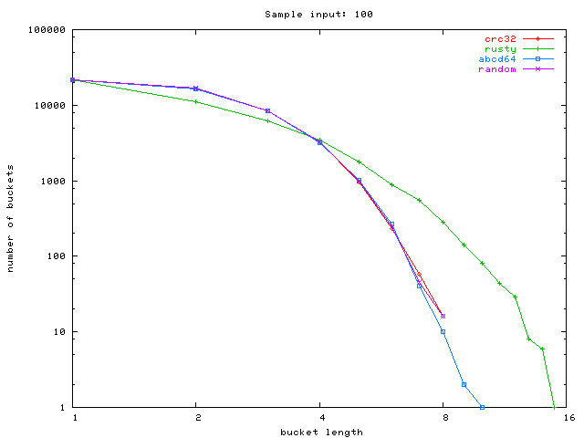
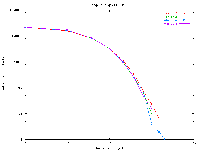
Sample graphs: crc32, rusty, abcd64, hash size 65537

Sample input: hash size 65537, 50000 clients

Sample input: hash size 65537, 10000 clients

Sample input: hash size 65537, 1000 clients

Sample input: hash size 65537, 100 clients

Sample input: hash size 65537, 1 clients