Sample graphs: crc32, rusty, abcd64, hash size 262147

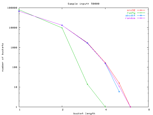
Sample input: hash size 262147, 50000 clients

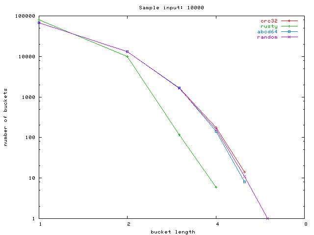
Sample input: hash size 262147, 10000 clients

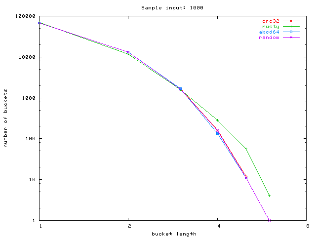
Sample input: hash size 262147, 1000 clients

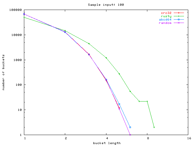
Sample input: hash size 262147, 100 clients

Sample input: hash size 262147, 1 clients