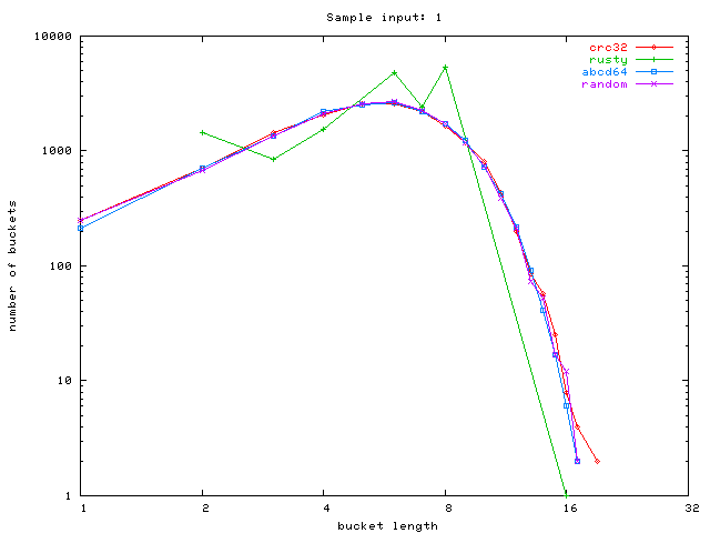
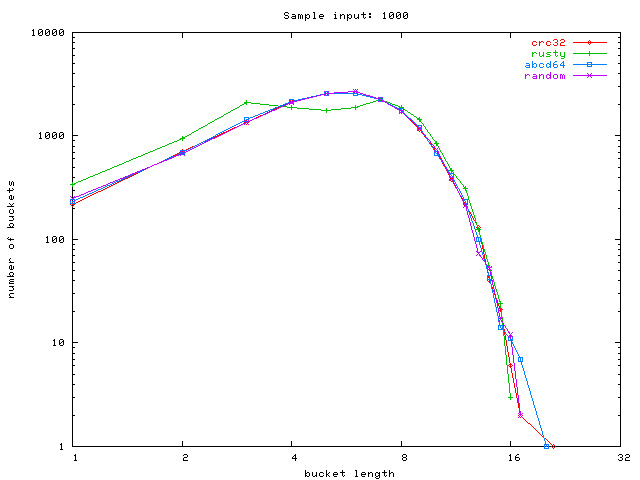
Sample graphs: crc32, rusty, abcd64, hash size 16383

Sample input: hash size 16383, 50000 clients

Sample input: hash size 16383, 10000 clients

Sample input: hash size 16383, 1000 clients

Sample input: hash size 16383, 100 clients

Sample input: hash size 16383, 1 clients