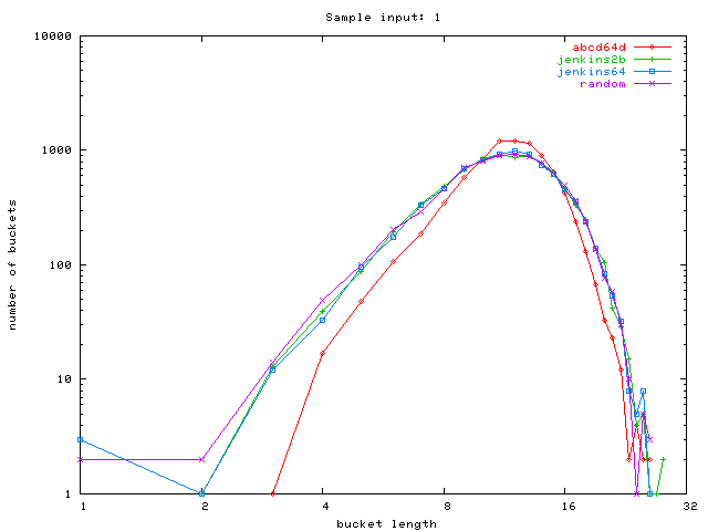
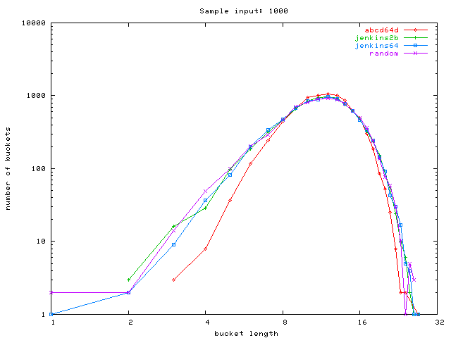
Sample graphs: abcd64d, jenkins2b, jenkins64, hash size 8192

Sample input: hash size 8192, 50000 clients

Sample input: hash size 8192, 10000 clients

Sample input: hash size 8192, 1000 clients

Sample input: hash size 8192, 100 clients

Sample input: hash size 8192, 1 clients