Sample graphs: abcd64d, jenkins2b, jenkins64, hash size 65536

Sample input: hash size 65536, 50000 clients

Sample input: hash size 65536, 10000 clients

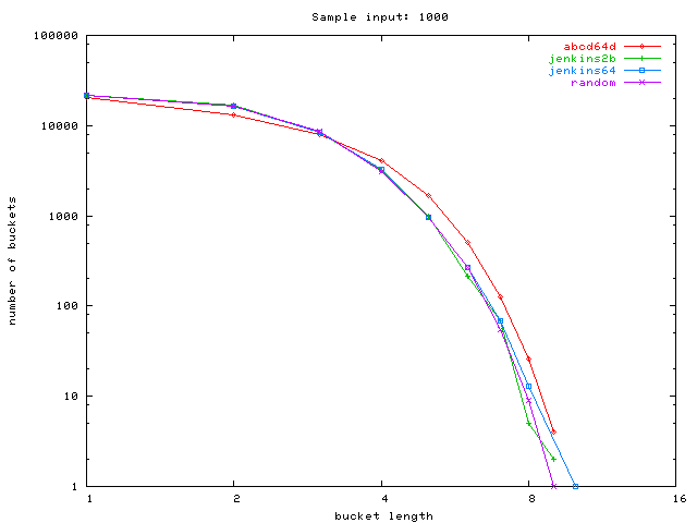
Sample input: hash size 65536, 1000 clients

Sample input: hash size 65536, 100 clients

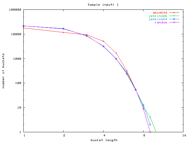
Sample input: hash size 65536, 1 clients