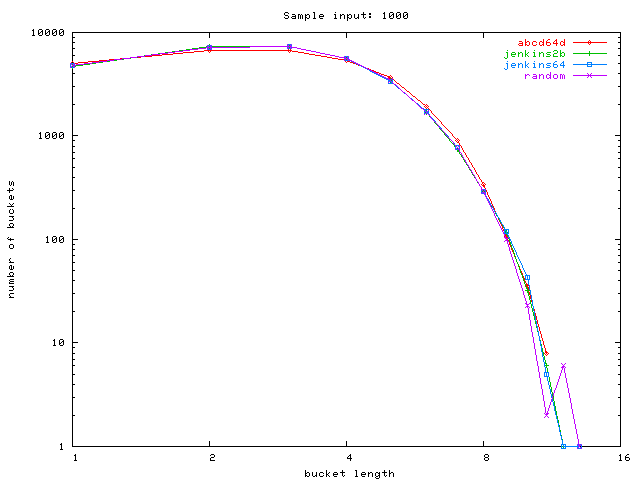
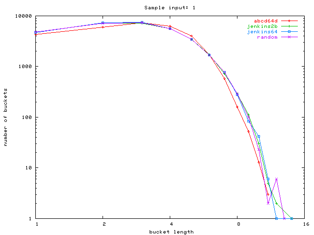
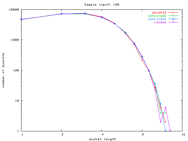
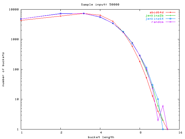
Sample graphs: abcd64d, jenkins2b, jenkins64, hash size 32768

Sample input: hash size 32768, 50000 clients

Sample input: hash size 32768, 10000 clients

Sample input: hash size 32768, 1000 clients

Sample input: hash size 32768, 100 clients

Sample input: hash size 32768, 1 clients