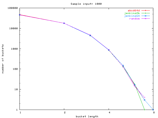
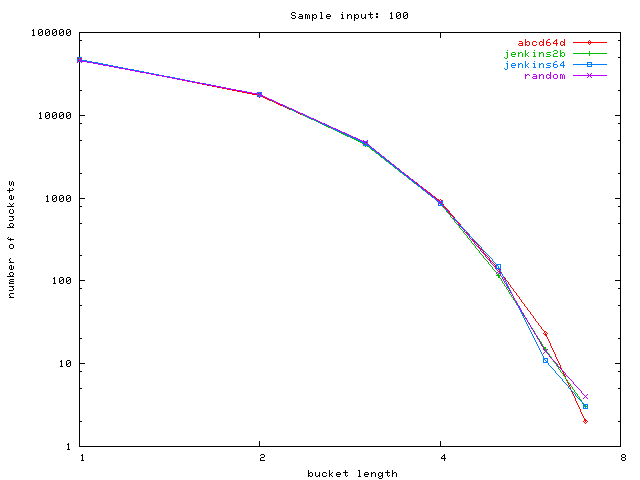
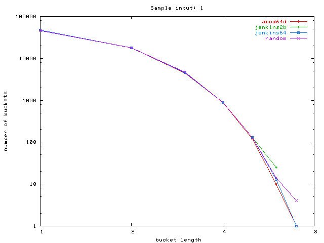
Sample graphs: abcd64d, jenkins2b, jenkins64, hash size 131071

Sample input: hash size 131071, 50000 clients

Sample input: hash size 131071, 10000 clients

Sample input: hash size 131071, 1000 clients

Sample input: hash size 131071, 100 clients

Sample input: hash size 131071, 1 clients