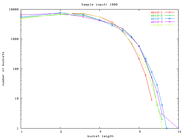
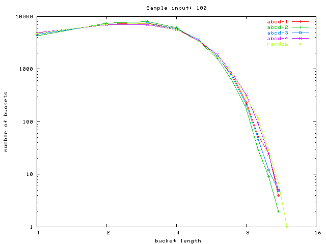
Sample graphs: abcd-1, abcd-2, abcd-3, abcd-4, hash size 32771

Sample input: hash size 32771, 50000 clients

Sample input: hash size 32771, 10000 clients

Sample input: hash size 32771, 1000 clients

Sample input: hash size 32771, 100 clients

Sample input: hash size 32771, 1 clients