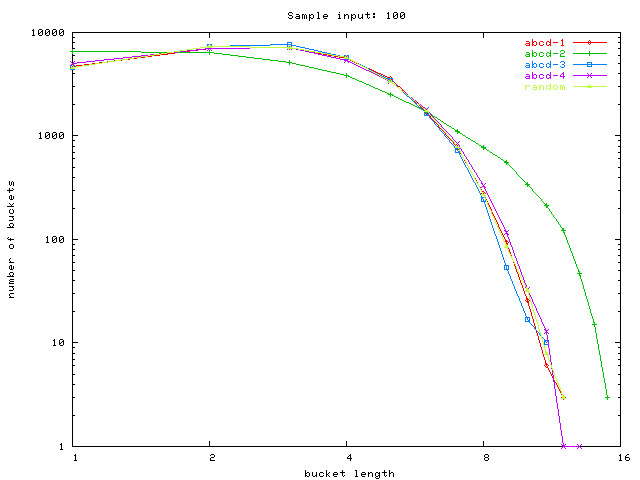
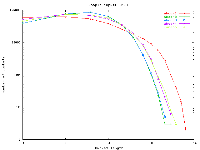
Sample graphs: abcd-1, abcd-2, abcd-3, abcd-4, hash size 32767

Sample input: hash size 32767, 50000 clients

Sample input: hash size 32767, 10000 clients

Sample input: hash size 32767, 1000 clients

Sample input: hash size 32767, 100 clients

Sample input: hash size 32767, 1 clients