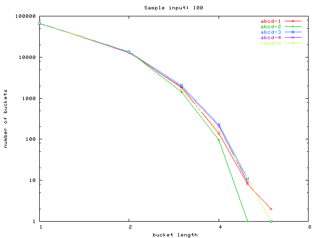
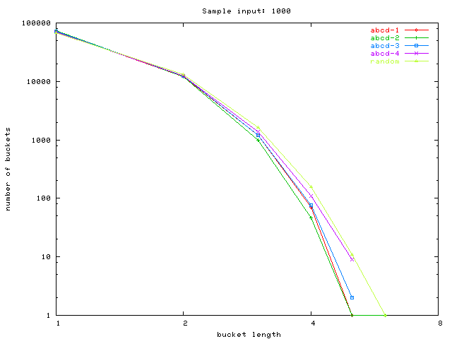
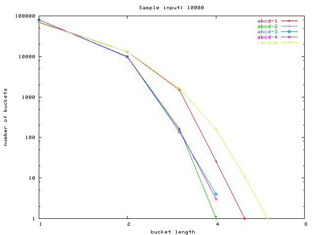
Sample graphs: abcd-1, abcd-2, abcd-3, abcd-4, hash size 262147

Sample input: hash size 262147, 50000 clients

Sample input: hash size 262147, 10000 clients

Sample input: hash size 262147, 1000 clients

Sample input: hash size 262147, 100 clients

Sample input: hash size 262147, 1 clients