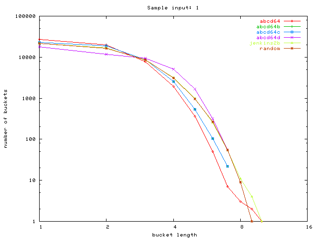
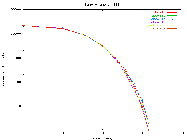
Sample graphs: abcd64, abcd64b, abcd64c, abcd64d, jenkins2b, hash size 65536

Sample input: hash size 65536, 50000 clients

Sample input: hash size 65536, 10000 clients

Sample input: hash size 65536, 1000 clients

Sample input: hash size 65536, 100 clients

Sample input: hash size 65536, 1 clients