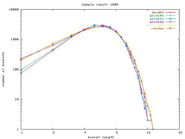
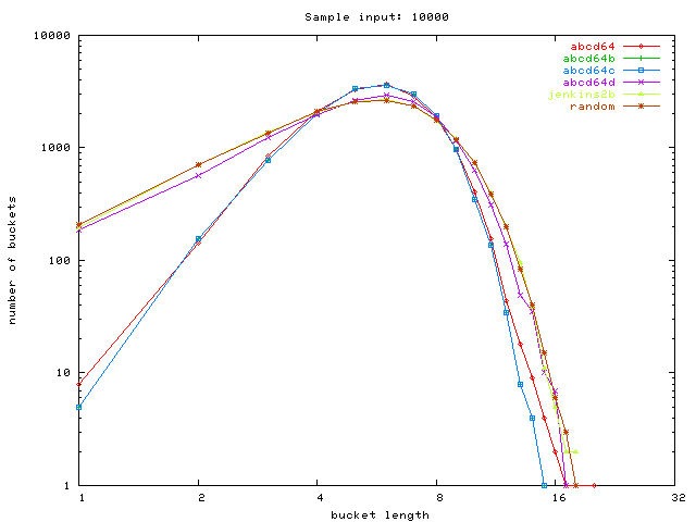
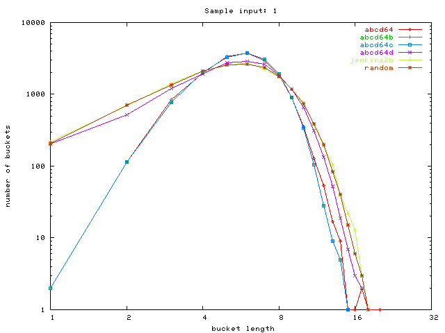
Sample graphs: abcd64, abcd64b, abcd64c, abcd64d, jenkins2b, hash size 16384

Sample input: hash size 16384, 50000 clients

Sample input: hash size 16384, 10000 clients

Sample input: hash size 16384, 1000 clients

Sample input: hash size 16384, 100 clients

Sample input: hash size 16384, 1 clients