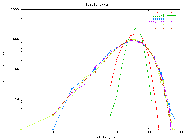
Sample graphs: abcd, abcd-1, abcdef, abcd_xor, abcd64, hash size 8209

Sample input: hash size 8209, 50000 clients

Sample input: hash size 8209, 10000 clients

Sample input: hash size 8209, 1000 clients

Sample input: hash size 8209, 100 clients

Sample input: hash size 8209, 1 clients