Pictures comparing hash functions


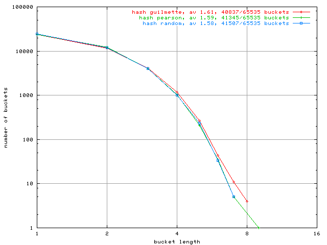
Bucket size 65535, all hashes


Dataset: guilmette-65535 pearson-65535 random-65535

Bucket size 65536, all hashes


Dataset: guilmette-65536 pearson-65536 random-65536

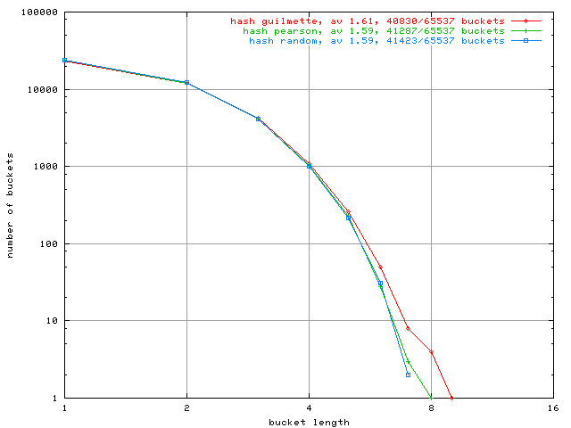
Bucket size 65537, all hashes


Dataset: guilmette-65537 pearson-65537 random-65537
(c) 2002 Patrick Schaaf , using cttest-0.4.tar.gz