Pictures comparing hash functions


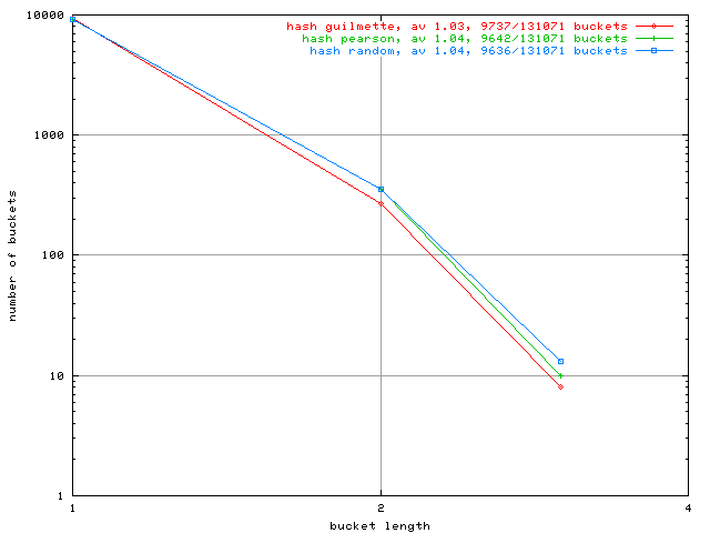
Bucket size 131071, all hashes


Dataset: guilmette-131071 pearson-131071 random-131071

Bucket size 131072, all hashes


Dataset: guilmette-131072 pearson-131072 random-131072

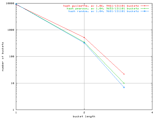
Bucket size 131101, all hashes


Dataset: guilmette-131101 pearson-131101 random-131101
(c) 2002 Patrick Schaaf , using cttest-0.4.tar.gz