Mohammedné Ziegler Ildikó
Kalix[4]arén-származékok szelektív komplexképzésének spektroszkópiai vizsgálata
Budapesti Mûszaki és Gazdaságtudományi Egyetem
2000
A kalixarének kutatása viszonylag új, mintegy húsz éves múltra visszatekintõ területe a kémiának. Analitikai alkalmazhatóságuk reményében azonban mind szélesebb körben foglalkoznak ezekkel a makrociklusokkal szerte a világon.
Az általam vizsgált kalix[4]arén-származékok többsége kromofór szubsztituensüknek köszönhetõen jól észlelhetõ színváltozással jelzi a komplexképzõdést. Feladatom az volt,
hogy UV/látható spektroszkópiai módszerrel vizsgáljam a komplexképzõdési reakció sztöchiometriáját, egyensúlyi állandóját és szelektivitását. Egy komplex szerkezetének jobb megismerése érdekében 1H- és 7Li-NMR-es méréseket is végeztem.
1. Imino-piridinium indikátorcsoportot tartalmazó kalixarénszármazékok
1.1 A komplexképzõ szférájukban alkoxi-szubsztituált 7a, b és c kromoionofór trietil-amin jelenlétében lítiummal szelektíven képez komplexet.
1.2 A metaizomer 7b ligandum kromofór csoportja nem elég érzékeny a komplexképzõdési egyensúly követéséhez, melynek oka, hogy nem alakulhat ki kiterjedtkonjugació az indikátorcsoport és a komplexképzõ szféra között.
1.3 7a és c gyenge szolvatokromizmust mutat, és halokromizmusa nem tiszta a lítiumion koordinatív kötõdése miatt. Nagy LiBr koncentráció mellett a komplex abszorpciós maximumának eltolódását tapasztaltam, amely valószínûleg valódi halokromizmus következménye.

1.4 Feltártam a folyamat lítiumion és trietil-amin koncentrációjától való függését. Mivel a vizsgált összetett egyensúlyi rendszerre alkalmazható modell az irodalomban korábban nem volt ismeretes, szükségessé vált egy új modell kidolgozása, melynek segitségével meghatároztam ezen vegyületek lítiummal képzett komplexének stabilitási állandóját.
1.5 Az így nyert komplexképzõdési állandók kicsik (Kc(7a-LiA )=3,4* 10-2 dm3 mol-1 ill. Kc(7c-LiA )=1,6* 10-2 dm3 mol-1.), viszont a komplexképzõdés abszorpciós spektroszkópiai mód
szerrel jól követhetõ változást eredményez a spektrumban. Ezért a vizsgált ligandumok szerves oldószerben lítiumion kis koncentrációjának meghatározására nem alkalmazhatóak, de erõsebb koordinációs szféra kialakításával alkalmassá válhatnak ara, hogy optikai szenzorként alkalmazzuk õket.
1.6 A 8a és c komplexképzésének vizsgálatát alkáli -földfémionokra is kiterjesztettem. Az észtercsoportot tartalmazó 8a és c kromoionofór erõsebben komplexál, viszont nem csak lítium-, de nátrium- és kálciumionokat is koordinatíve köt trietil-amin jelenlétében.
1.7 A 7 ligandumsorozatra kidolgozott összetett egyensúlyi modell elhanyagolásai 8a és c kromoionofór esetében már nem helytállóak, ezért a modell kiterjesztett változatának alkalmazására és elektrokémiai módszerekkel kombinált koncentrációmeghatározásra lenne szükség, hogy a stabilitási állandót ki tudjuk számolni.
1.8 Az NMR-es mérések egyértelmûen mutatják, hogy a lítiumion valóban az észtercsoportok és egy fenolos -OH alkotta koordinációs szférában kötõdik meg.
1.9 A komplex keletkezése nem jár együtt kinodiális szerkezet kialakulásával, ahogy azt eredetileg feltételeztük.
1.10 A komplexált formában lévõ lí tiumionok 7Li jelének T1 és T2 relaxációs ideje jelentõsen csökken a szabadon, oldatban lévõ lítiumionok relaxációs idejéhez képest. Ez annak a következménye, hogy a komplexálódás jelentõsen csökkenti az ion mozgásának szabadságát.
2. Nitrofenol auxokróm csoportot tartalmazó kalixarénszármazékok
2.1 A 10a ligandum koordinációs szférája nyí lt, a 10b kalixaréné - az eddig vizsgáltakhoz képest újszerû - diamidhidat tartalmaz, hogy az áthidalás hatását vizsgálhassuk. Megállapítottam, hogy az áthidalás jelentõsen fokozza a komplexstabilitást, 1,6-14-szer nagyobb egyensúlyi állandókat mértem 10b esetében (kivétel a kálciumkomplex).
2.2 A lítiumkomplexek keletkezésekor acetonitrilben és a kálciumkomplexek esetében etanolban új csúcs jelenik meg, rendre 269 nm-nél és 265 nm-nél, ami szelektív az említett ionokra nézve.
2.3 A vizsgálataim azt mutatták, hogy a 10a és b ligandum LiA -nal és propil-aminnal 1:1 sztöchiometria szerint képez komplexet. Ugyanakkor Ca2A -nal, és több aminocsoportot

tartalmazó szubsztráttal, mint pl. 1,3-diamino-propánnal és dietilén-triaminnal, L2S típusú komplexet képeznek (ahol L a ligandum és S a szubsztrát, esetünkben amin vagy fémion), ha a két reaktáns hasonló nagyságrendben van jelen.
Ha a szubsztrátumot nagy feleslegben adagoljuk, LS összetételû komplex is jelen lesz a rendszerben.
2.4 A vizsgált kalixarének alifás aminokkal is
képeznek komplexet, az amin rendûségétõl
függõ szelektivitással. Legerõsebb komplexálódási
hajlama a primer aminoknak van, mert õk képesek a legtöbb
hidrogénhíd kialakítására.
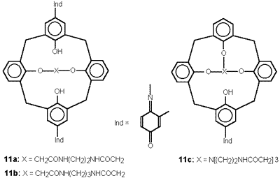
3. Indofenol egységet tartalmazó kalixarénszármazékok
3.1 Meghatároztam a komplexképzõdés egyensúlyi
állandóját a 11b, c, d és e kromoionofór
és néhány alifás amin alkotta rendszerre etanolban
(poláris, protikus) és dimetil-szulfoxidban (poláris,
aprotikus), 1:1 sztöchiometriát feltételezve. Az aminokkal
szembeni szelektivitást a 11 ligandumsorozat esetében
is a rendûségtõl függõnek találtam.
A kipróbált alifás aminok számát növelve
megállapítottam, hogy az alkilláncok térkitöltésének
és az egyéb rajta lévõ szubsztituenseknek,
pl. hidroxilcsoport, is van hatása az egyensúlyra.

3.2 Méréseink azt mutatták, hogy az egyensúlyi folyamat összetett. Ezt bizonyítja, hogy a számított “egyensúlyi állandó” az amin koncentrációjával drasztikusan csökken. Feltételezzük, hogy egy párhuzamos sav-bázis egyensúly van jelen a rendszerben. Lehetséges, hogy az egyensúly nem 1:1 sztöchiometriával áll be.
3.3 Az aminok komplexálásának a szelektivitása függ az oldószer polaritásától. Normál láncú alkoholok homológ sorából választva az oldószereket, valamint oktil-amint és dipropil-amint választva a tesztelésre úgy találtam, hogy a poláris oldószer kedvezõbb a primer aminokkal szembeni szelektivitás szempontjából.
Köszönetnyilvánítás – Szeretném megköszönni témavezetõm, dr. Kubinyi Miklós éveken keresztüli támogatását, ami nélkül e Ph.D. nem születhetett volna meg. Továbbá köszönöm konzulenseim, dr. Grofcsik András és dr. Bitter István hasznos tanácsait.
Investigation of the selective complex forming properties of some
calix[4]arene derivatives
Ph. D. thesis
Budapest University of Technology and Economics
2000
Conical calixarenes which have suitable co-ordination spheres are capable of bonding alkali and alkali earth metal ions as well as aliphatic amines. If a sensitive indicator group is bound to macrocyclic skeleton, the complex formation can be easily observed by UV/Vis spectroscopy. Recently, selective complexation reactions are in the focus of interest, because these ligands can be used in optical sensors for the quantitative determination of particular ions in multi-ionic system, such as physiological liquids. In this work four series of compounds with different substituents were investigated.
First, 7a and c (for structures see the Hungarian text) were studied which contained one hydroxyl and three alkoxy groups in the coordination sphere. They were found to be highly selective to lithium ions in the presence of triethylamine base, however, they are not ideal to measure the concentration of this cation because of their rather low Kc equilibrium constants of complex formation (Kc(7a-Li+)=3,4* 10-2 dm3 mol-1 and Kc(7c-Li+)=1,6* 10-2 dm3 mol-1).
A model for the evalution of Kc is presented [1,2].
In the next series 8a and 8c were synthesized with ethoxycarbonylmethyl groups substituting alkoxy moieties in the coordination sphere. In this case the complexation constant, Kc, is much higher in the presence of triethylamine traces, however, these compounds are capable of binding lithium, sodium and calcium ions quite selectively, so that the selectivity became lower [2].
The structure of the 8c-Li+ complex was observed by 1H and 7Li NMR spectroscopy. It is appearent from the results that the lithium ion is bound in the co-ordination sphere, however, the formation of quinodial structure was not detected. T1 and T2 relaxation times of 7Li nuclei decreased markedly due to the complex formation [3].
The selectivity of opened and bridged ligands could be compared via studying 10a and b calixarenes. 10b contained a diamide bridge – and not a crown ether bridge, as usual - which increased the selectivity significantly. Complex formation with aliphatic amines were also found to be selective to primary amines. The stoichiometry of the complexes formed was also investigated [4].
The cromophoric unit of series 11 was indophenolic group. Ligands
with different diamide bridges were compared with the crown ether bridged
11d
reported by Kubo et al. The equlibrium constants of complex formation,
Kc, was determined systematically with several aliphatic amines
in ethanol and DMSO in order to study the effect of substrate on the equilibrium.
The effect of solvent polarity was also observed and polar solvents were
found to be favourable for the complex formation [5, 3].
Publications
Kubinyi M., Mohammed-Ziegler I., Grofcsik A., Bitter I., Jones, W.
J.: Spectroscopic Study of Complex Formation between Alkali Metal Ions
and Chromogenic Calixarene Derivatives, J. Mol. Structure, 408,
543-546 (1997)
Bitter I., Grün A., Tõke L., Balázs B., Mohammed-Ziegler
I., Grofcsik A., Kubinyi M.: Novel chromogenic pyridinium derivatives of
calix[4]arenes, II, Tetrahedron, 53(49), 16867-16876 (1997)
Mohammed-Ziegler I., et. al. : unpublished results, publication is
underway.
Mohammed-Ziegler I., Kubinyi M., Grofcsik A., Grün A., Bitter
I.: Spectroscopic study of complex formation between aliphatic amines and
chromogenic calix[4]arene derivatives, J. Mol. Structure, 480-481,
289-292 (1999)
Mohammed-Ziegler I., Poór B., Kubinyi M., Grofcsik A., Grün
A., Bitter I.: Spectroscopic study of molecular recognition of ions by
calix[4]arene derivatives, J. Inclusion Phenomena and Macrocyclic Chem.
35(1), 349-353, (1999)
| Vissza a tartalomjegyzékhez
Back to Contents |
http://www.kfki.hu/chemonet/
http://www.chemonet.hu/ |