2. vizsga - megoldás
1. (15 pont) Nevezzük el a következõ molekulákat
(vegyük figyelembe a sztereokémiát is).
a) 
(S)-5-bróm-5-klór-2-heptin
b) 
(1S,3S)-1-metil-1,3-diklór-ciklohexán
c) 
(R)-2,3,5-trimetil-1,3-ciklohexadién
2. (1 pont egyenként) Egészítsük ki a következõ
reakciókat a hiányzó részekkel: vagy a szükséges
reagensekkel és körülményekkel, vagy a várható
fõtermékkel.
a) 
b) 
c) 
d) 
3. (12 pont) Karikázzuk be azokat a képleteket, melyek
megfelelnek az (R)-2-klór-butánnak.

4. (5 pont) Jelöljük csillaggal (*) az alábbi képletben
a sztereocentrumokat (R és S megnevezés nem szükséges).

aszpartám, egy mesterséges édesítõszer
5. (10 pont) Azonosítsuk mindkét sztereocentrum konfigurációját
(R vagy S) a treioninban. Pótoljuk a hiányzó szubsztituenseket
a jobb oldali képleten.

treonin, egy természetes aminosav
6. (14 pont) Három alkén izomer (X, Y és Z) és
négy alkil-bromid izomer (A, B, C és D) képlete látható
lentebb.


A Markovnyikov-szabályt használva jósoljuk meg valamennyi
alkén HBr addíciójának fõtermékét.
X + HBr > B
Y + HBr > C
Z + HBr > C
A Zajcev-szabályt használva jósoljuk meg valamennyi
alkil-bromid esetében, hogy eliminációval milyen fôtermék
keletkezik.
A + KOH > X
B + KOH > Y
C + KOH > Y
D + KOH > Z
7. (12 pont) Egészítsük ki a következõ
reakciókat a hiányzó részekkel:
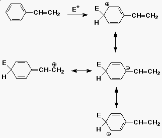
8. (20 pont) A sztirol, lásd lejjebb, kétféleképp
is reagálhat erõs elektrofil ágensekkel:

a) Az elektrofil ágens kapcsolódhat az aromás gyûrûhöz.
Rajzoljuk fel az elektrofil (E+) para-helyzetû támadásakor
keletkezõ intermedier rezonancia formáit.
b) Az elektrofil ágens kapcsolódhat a kettõs kötéshez.
Rajzoljuk fel a Markovnyikov-szabály értelmében az
E+ addíciójával keletkezõ intermedier
rezonancia formáit.

c) Melyik reakció játszódik le ténylegesen?
Válaszunkat támasszuk alá a lehetséges reakciók
relatív valószínûségével.
A kettõs kötésen kedvezõbb az addíciós
reakció, mint az aromás gyûrûn. Az intermedier
karbokation stabilabb a kiindulási anyaghoz képest, mert
az aromás gyûrû sértetlen marad. Általában
csak nagyon erõs elektrofilek reagálnak az aromás
gyûrûn. A normál elektrofilek csak a kettõs kötésen
tudnak reagálni.
Vissza