1. (2 pont) Rajzoljuk fel a következõ szerkezeteket:
a) szek-butil-acetát 
b) (S)-2-metil-N-propil-pentánamid
2. (3 pont) Pótoljuk a hiányzó részeket
a következõ reakciókban:
a) 
b) ![]()
c) 
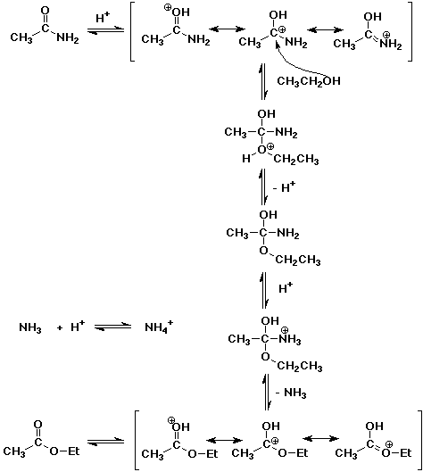
3. (5 pont) Írjuk fel az acetamid és az etanol savkatalizált
reakciójának mechanizmusát.
![]()