1. A kondenzációs reakciók között
igen sok a névvel jelzett reakció. Az itt következõ
néhányban azonosítsuk a reagáló alfa-nukleofilt
és karbonilcsoportot, írjuk fel a várható intermediereket.
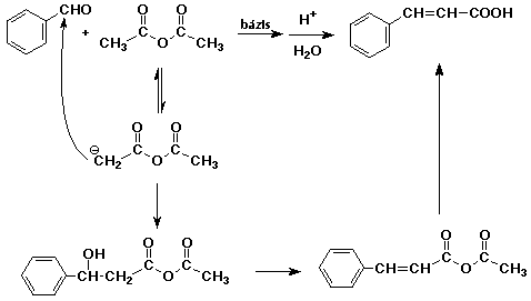
a) Perkin-kondenzáció

Az alfa-nukleofil a savanhidridbõl jön létre,
majd kondenzál az aldehiddel, és béta-hidroxi-savanhidrid
keletkezik. A reakció a savanhidrid hidrolízisével
és az alkohol dehidratálódásával fejezõdik
be.
b) Knoevenagel-kondenzáció

Az alfa-nukleofil a malonészterbõl keletkezik, és
az aldehiddel kondenzálva béta-hidroxi-diésztert ad.
A reakció az alkohol dehidratációjával fejezõdik
be.
c) Dieckmann-kondenzáció

Az alfa-nukleofil valamelyik észtercsoporthoz alfa-helyzetû
szénatom, majd az támadja a másik észtercsoportot,
melyben egy béta-keto-észter jön létre.
2. A vegyes aldol reakció két különbözõ
komponens között játszódik le. Az egyik a nukleofil
(elektrondonor) a másik pedig a karbonil (elektronakceptor). Írjuk
fel az acetaldehid és a benzaldehid között lejátszódó
vegyes aldol reakció mechanizmusát. Jelöljük, melyik
komponenst választottuk donornak, és melyiket akceptornak,
és hogyan vezessük a reakciót, hogy a rendes aldol reakciót
a lehetõ legjobban elkerüljük.

Csak az acetaldehid lehet az alfa-nukleofil, mert a benzaldehidbõl
alfa-hidrogén hiányában nem lehet karbaniont képezni.
A reakciót úgy célszerû vezetni, hogy az acetaldehidet
lassan adagoljuk a benzaldehid és a bázis oldatához,
hogy annak koncentrációja a lehetõ legalacsonyabb
legyen.
3. Írjuk fel az etil-benzoát és az etil-acetát
nátrium-etilát bázis hatására lejátszódó
vegyes Claisen-kondenzációjának mechanizmusát.
