2. rész
Megoldás
1. (20 pont) Az emésztés folyamán a nagyobb molekulák
kisebbekre bomlanak. Azonosítsuk névvel (szerkezet nem szükséges)
a betûvel jelzett vegyületeket.
répacukor (szaharóz)--> A + B --> C + D --> E -->
F
keményítõ --> A --> B --> C + D --> E
--> F
zsírok --> G + H ( G --> D --> E --> F ) ( H -->
E --> F )
Néhány vegyület tartalmazhat foszfátot, de azt
ne vegyük figyelembe, pl. a glicerin-1,3-difoszfát glicerinnek
nevezendõ.
segítség:
A és B: C6-vegyület
C, D, és G: C3-vegyület
E: C2-vegyület
F: C1-vegyület
D: D-cukor
E ként tartalmaz
A = glükóz
B = fruktóz
C = dihidroxi-aceton
D = glicerinaldehid
E = acetil coA
F = szén-dioxid
G = glicerin
H = zsírsavak
Melyik folyamat ábrázolja a citromsav- (Krebs-) ciklust?
E --> F
Azonosítsuk a glikolízist a reakcióegyenletek közül.
A --> B --> C + D --> E
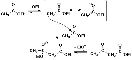
2. (15 pont) Az alábbi reakciók közül válasszunk
egyet, és írjuk fel a mechanizmusát. Tüntessük
fel az intermediereket (összes rezonancia formát).
(Báziskatalizált mechanizmusnál negatív töltésû
intermedier keletkezik.)
a) az acetaldehid aldol kondenzációja

b) az etil-acetát Claisen-kondenzációja

3. (15 pont) Az alábbi savkatalizált reakciók közül
válasszunk egyet, és írjuk fel a mechanizmusát.
Tüntessük fel az intermediereket (összes rezonancia formát).
(Savkatalizált mechanizmusnál pozitív töltésû
intermedier keletkezik.)
a) a ciklohexanon brómozása

b) az etil-acetát hidrolízise
