1. (15 pont) Nevezzük el a következõ szerkezeteket:
a) ![]()
ciklopentil-metil-amin
vagy (metil-amino)-ciklopentán
vagy N-metil-ciklopentamin
b) ![]()
p-ciano-anilin 
vagy 4-ciano-anilin 
vagy p-amino-benzonitril
vagy 4-amino-benzonitril
c) ![]()
benzol-diazónium-klorid
d) 
3-metoxi-piridin 
m-metoxi-piridin
e) 
metil-alfa-D-glükopiranozid
2. (15 pont) Rajzoljuk fel a következõ szerkezeteket:
a) a 2-metil-ciklohexanon enol tautomerjét

b) egy aldopentóz piranóz gyûrûjét

c) egy királis kvaterner ammóniumsót
vagy
bármely más négy csoport
d) az etil-ciklohexán-karboxilát Claisen-kondenzációs
termékét

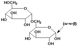
e) a D-glükóz egységek közötti alfa-1,6'-glikozidos
kötést

3. (15 pont) Pótoljuk a hiányzó részeket
a következõ reakciókban:
a) 
b) 
c) 
d) 
e) 
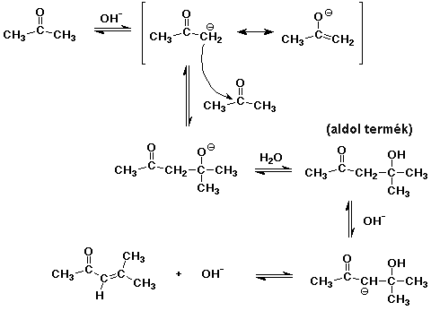
4. (15 pont) Írjuk fel az aceton NaOH-katalizált aldol
reakciójának és az azt követõ dehidratálódásnak
a mechanizmusát

5. (10 pont) Adjuk meg a következõ funkciós csoportok
vagy vegyületcsaládok közelítõ pKa
értékét, a megadott hét érték
közül választva.
| erõsebb savak  | 
pKa | gyengébb  savak  | 
||||||||
![]()  | 
||||||||||
| gyengébb konjugált bázisok  | 
erõsebb konjugált bázisok  | 
|||||||||
| R=alkil | Sav | pKa | |
| Ar=aril | RCH3 | 50 | |
| ROH | 15 | ||
| ArOH | 10 | ||
| RCOOH | 5 | ||
| RCOCH3 | 20 | ||
| RNH3+ | 10 | ||
| ArNH3+ | 50 | ||
| 5 | |||
| 1 | |||
| 7 | 
6. (10 pont) A következõ szerkezetek közül karikázzuk
be azokat, melyek a D-glicerinaldehidet ábrázolják,
és húzzuk alá azokat, melyek az L-glicerinaldehidet.

7. (10 pont) A lentebb látható L-ramnóz (egy 6-dezoxi-aldohexóz)
egyike annak a néhány L-cukornak, amely a természetben
elõfordul. Írjuk fel a Haworth-képletét és
a legstabilabb szék konformerét.

8. (10 pont) A cukrok lebontásakor a D-glükóz D-fruktózzá
alakul egy enolon (ebben az esetben egy éndiolon) keresztül.
A D-fruktóz ezután (az aldoláz enzim hatására)
reverz aldol reakcióban két triózzá hasad.
Írjuk fel mindkét reakcióegyenletet, jelöljük,
hogy mely kötések szakadnak, illetve keletkeznek.
