1. (15 pont) Nevezzük el a következõ szerkezeteket:
a) ![]()
(R)-6-hidroxi-3-metil-hexanal
b) 
4-ciklobutil-N,N-dimetil-butánamid
c) 
ciklohexil-2-propenoát vagy ciklohexil-akrilát
d) 
3-metoxi-benzoil-klorid vagy m-metoxi-benzoil klorid
e) 
6,6-dimetil-2,4-ciklohexadiénon
2. (15 pont) Rajzoljuk fel a következõ szerkezeteket:
a) 3-oxo-hexán-nitril
![]()
b) protonált aceton (két rezonancia forma)

c) deprotonált hangyasav (két rezonancia forma)

d) ciklopentanon-imin
![]()
e) dietil-cisz-1,2-ciklohexán-dikarboxlát

3. (15 pont) Pótoljuk a hiányzó részeket
a következõ reakciókban:
a) 
b) 
c) 
d) 
mindkét módszer jó
e) 
4. (15 pont) Az X vegyületet formaldehid és etanol reakciójával
állítottunk elõ.
X infravörös spektrumában nincs jel sem a 4000-3000 cm-1,
sem a 2500-1500 cm-1 tartományban.
A 13C NMR spektrumban három csúcs található.
A 1H NMR három jelet mutat:
a - 2H szingulett 6 ppm
b - 2H kvartett 3.7 ppm
c - 3H triplett 1 ppm
Azonosítsuk a kérdéses vegyületet, magyarázzuk
meg a megadott információkat. Írjuk fel annak a reakciónak
az egyenletét, amelyben keletkezett.

Az IR-spektrum nem mutatja O-H vagy C=O kötés jelenlétét.
A C NMR spektrum három különbözõ típusú
szenet mutat - a, b, és c.
5. (15 pont) Egy Y vegyület C10H11ClO, 1H
NMR spektrumában a következõ jelek találhatók:
5H multiplett 7 ppm
2H szingulet 3.6 ppm
2H triplett 3.4 ppm
2H triplett 2.8 ppm
Azonosítsuk Y vegyület szerkezetét és rendeljük
az NMR jeleket a megfelelõ hidrogénjeihez.

aromás - 5H multiplett 7 ppm
a - 2H szingulett 3.6 ppm
b - 2H triplett 2.8 ppm
c - 2H triplett 3.4 ppm
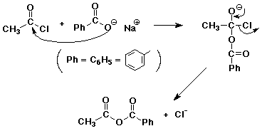
6. (15 pont) Írjuk fel az acetil-klorid és a nátrium-benzoát
reakciójának mechanizmusát 
(CH3COCl + C6H5COO- Na+)
Magyarázzuk meg, hogy miért nem használnak a reakcióban
sem sav-, sem báziskatalízist.

A hozzáadott bázis kompetitív nukleofilként
viselkedne, reagálva a sav-kloriddal.
Sav jelenléte nem szükséges a sav-klorid aktiválásához,
az anélkül is igen reaktív.
A sav protonálná a benzoát-aniont is, mellyel kevéssé
nukleofil benzoesav jönne létre.
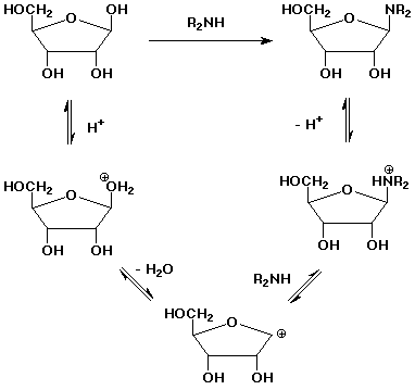
7. (10 pont) Ez a D-ribóz félacetát alakja. Mikor
a nukleinsavak nitrogénbázisaihoz kapcsolódik, a jobb
oldali szerkezet jön létre. Írjuk fel a savkatalizált
reakció mechanizmusát.
Ez egy szubsztitúciós reakció, analóg az acetál
keletkezésével félacetálból.
A savra az OH-csoport lelépésének elõsegítéséhez
van szükség.
